• Предмет: Химия
  • Автор: mrnkstlv
  • Вопрос задан 8 лет назад

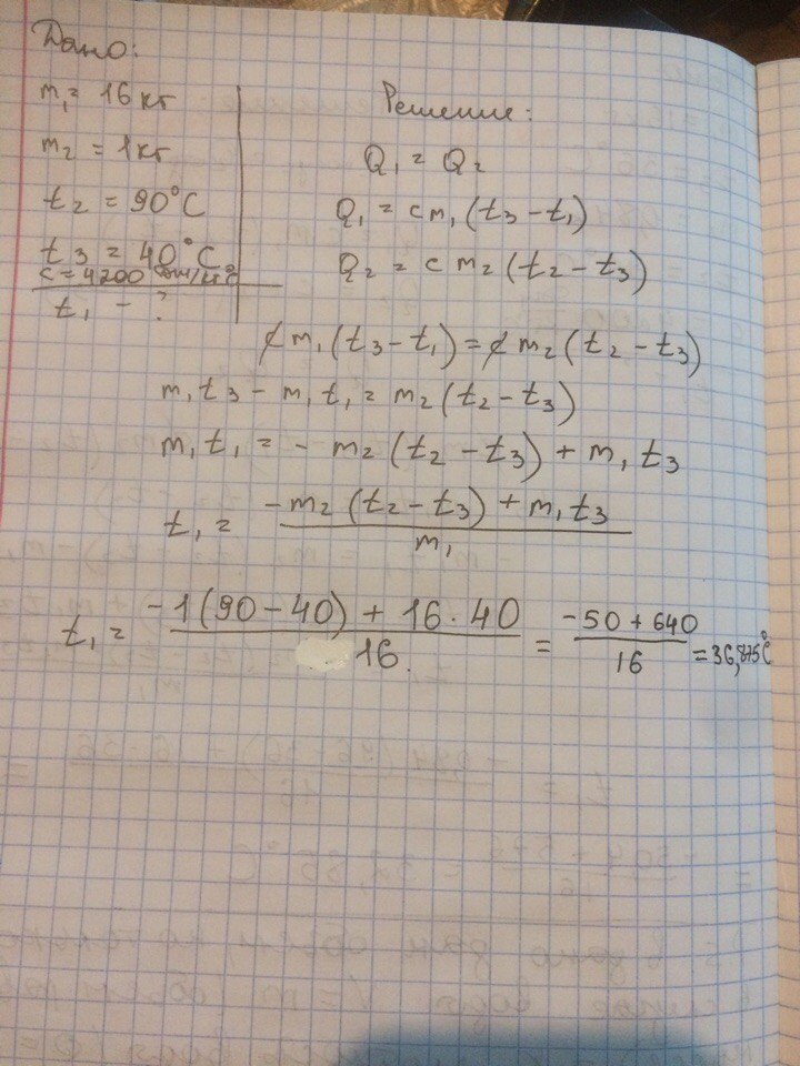
Допоможіть: У холодну воду, маса якої 16 кг, влили 1 літр гарячої води при температурі 90"С. Яку початкову температуру мала холодна вода, якщо температура суміші стала 40"С? (В умові літри переведіть у кг.) Як знайти температуру? Все знаю окрім температури ... І це фізика, я сплутала предмет.

Ответы

Ответ дал: daldalton007
0

Решение на фотографии

Приложения:
Ответ дал: mrnkstlv
0
Спасибо, большое!
Ответ дал: daldalton007
0
)))
Вас заинтересует