• Предмет: Математика
  • Автор: arazmohammad
  • Вопрос задан 8 лет назад

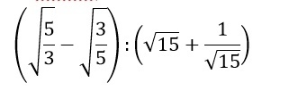
решить задачу с корнями

Приложения:

Ответы

Ответ дал: Polyus
0
Вот это решение которое я отдаю тебе
Приложения:
Вас заинтересует