Ответы
Ответ дал:
0
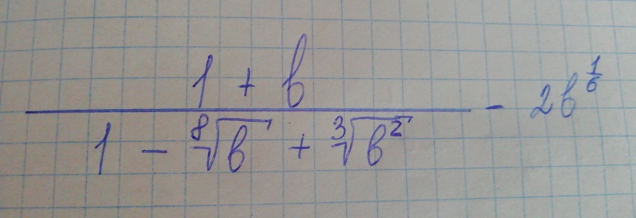
Ну вот что у меня получилось, вроде должно быть правильно)
Приложения:

Вас заинтересует
2 года назад
2 года назад
3 года назад
3 года назад
9 лет назад
9 лет назад