• Предмет: Математика
  • Автор: mitroshinyura
  • Вопрос задан 11 лет назад

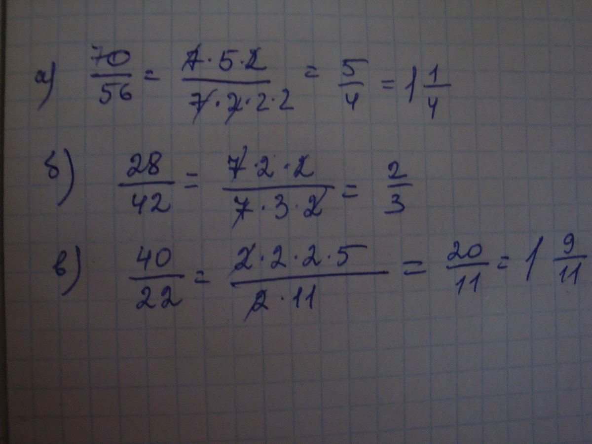
сократить дробь
 а) 70/56 
б)28/42
в)40/22

Ответы

Ответ дал: drborman2001
0
70/56=10/8=5/4=1 1/4=1,25
28/42=7/21=1/3
40/22=20/11=1 9/11
Ответ дал: Mydrый
0
решение во вложенииииииииииииииииииииииииииииииииииии
Приложения:
Вас заинтересует