• Предмет: Алгебра
  • Автор: DISP12345
  • Вопрос задан 8 лет назад

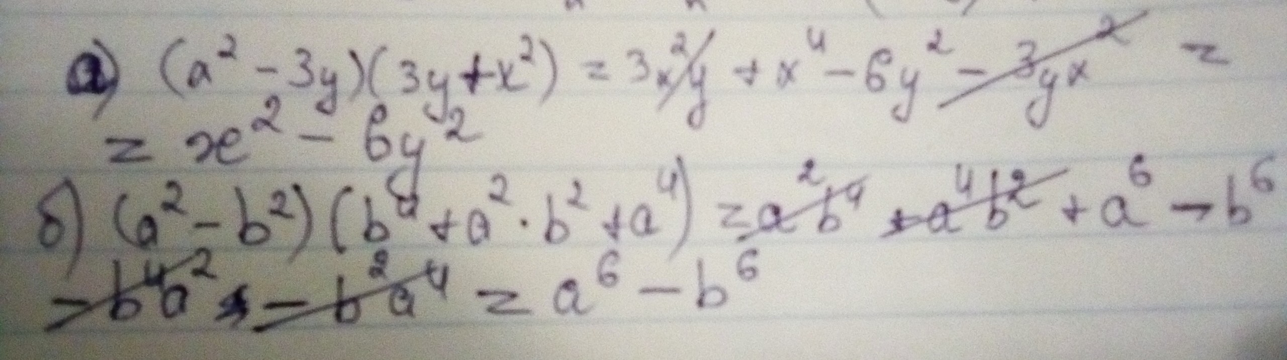
преобразуйте пожалуйста выражение в многочлен стандартного вида
а) (х²-3у)(3у+х²)=
б) (а²-b²)(b в 4степени+а²b²+a в 4 степени)

Ответы

Ответ дал: UtOpiA8852
0
то, что зачёркнуто, это значит что выражение с противоположными знаками взаимно уничтожаются, так и списывай.
Приложения:
Вас заинтересует