• Предмет: Физика
  • Автор: dimaandreevich
  • Вопрос задан 8 лет назад

Электротехника(небольшое задание ,можно пожалуйста с подробным решением

Приложения:

Ответы

Ответ дал: IUV
0

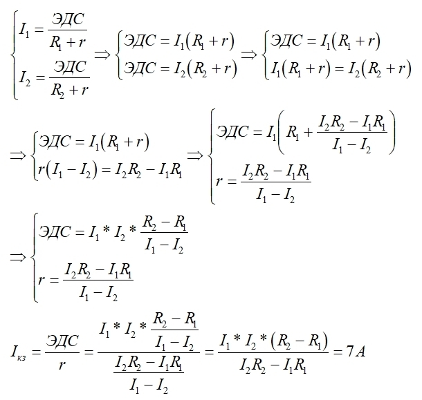
решение во вложении, ответ 7А

Приложения:
Ответ дал: Dedagenn
0
Безусловно, вывод правильный. Но зачем? По условию требуется найти числовое значение Iкз, и уже на 4-ом шаге можно вычислить r, ЭДС, Iкз. По сути физика кончилась записью уравнений на доске справа, а дальше чистая алгебра
Ответ дал: IUV
0
на 4-м шаге в формуле ЭДС присутствует r, что не позволяет на 4-м шаге найти числовое значение тока короткого замыкания.
Ответ дал: IUV
0
кроме того последняя формула достаточно эстетична и достойна того чтобы ее вывести
Ответ дал: Dedagenn
0
Я имел в виду последующие шаги с числами: r→ЭДС→Iкз. Про вид формулы согласен, но формула ради формулы? Она используется только для расчета, никак не осмысливается. Вопрос методологический: насколько обязателен вывод общей формулы против частного численного решения?
Ответ дал: IUV
0
на 5 шаге можно было вычислить численно r. подставить это значение в ЭДС и получить численно ЭДС. потом делить ЭДС (содержащее r) на r. конечно можно. но я предпочел вначале получить конечный ответ в виде формул и потом подставлять числа.
Вас заинтересует