Ответы
Ответ дал:
0
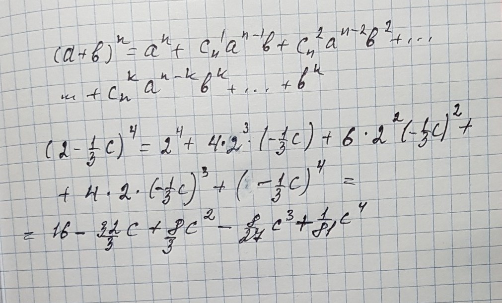
разложение бинома Ньютона
Приложения:

Ответ дал:
0
Бесконечно благодарна. Спасибо!Спасибо!Спасибо!
Ответ дал:
0
пожалуйста. Я конечно уже плохо помню эту тему,но вроде это делается так.
Вас заинтересует
3 года назад
9 лет назад
9 лет назад