Ответы
Ответ дал:
0
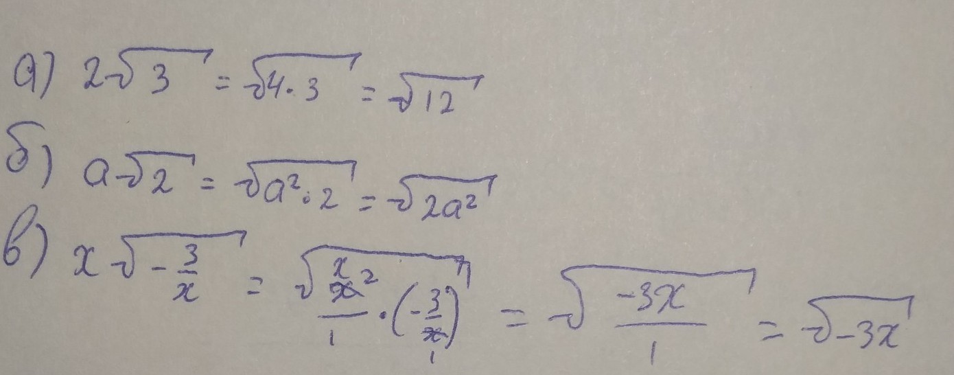
Что бы внести число под корень надо возвести его в квадрат
Приложения:

Вас заинтересует
2 года назад
2 года назад
3 года назад
3 года назад
9 лет назад
9 лет назад
9 лет назад