Ответы
Ответ дал:
0
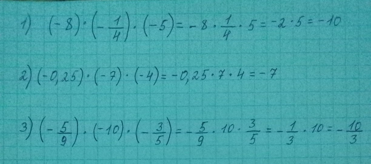
я сделала задание 6.
Но первая задание очень плохо видно!
Но первая задание очень плохо видно!
Приложения:

Вас заинтересует
2 года назад
3 года назад
3 года назад
9 лет назад
9 лет назад
9 лет назад
9 лет назад