• Предмет: Математика
  • Автор: Seme4ko808
  • Вопрос задан 8 лет назад

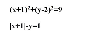
Решите систему. Не графически.

Приложения:

Ответы

Ответ дал: andreilis48
0

Из второго уравнение имеем |x+1| = 1 + y

Тогда

(1 + у)² + (у - 2)² = 9

у² + 2у + 1 + у² - 4у + 4 = 9

2у² - 2у - 4 = 0

у² - у - 2 = 0

у = 2, у = -1

Если у = -1, то |x+1| = 0, т.е. х = -1

Если у = 2, то |x+1| = 3, т.е. х = 2, или х = -4

Т.о., решения системы:

х = -1, у = -1;

х = 2; у = 2;

х = -4; у = 2;

Вас заинтересует