Помогите пожалуйста, горю!)
Самостоятельная работа
1. Найти производную
1)f(x)'=0,1x^2+3
2)f(x)'=x^2(x-1)
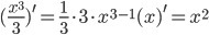
3)f(x)'=(x^3/3-x)
Ответы
Ответ дал:
0
1.(0.1x2+3)' = 0.2x
2.(x2(x-1))' = (x2)'(x-1)+x2(x-1)' = 2x(x-1)+x21 =x2+2x(x-1)
3. В картинках
Приложения:


Ответ дал:
0
(x)' = 1
Ответ=1
Ответ=1
Вас заинтересует
2 года назад
2 года назад
3 года назад
3 года назад
9 лет назад
9 лет назад