Ответы
Ответ дал:
0
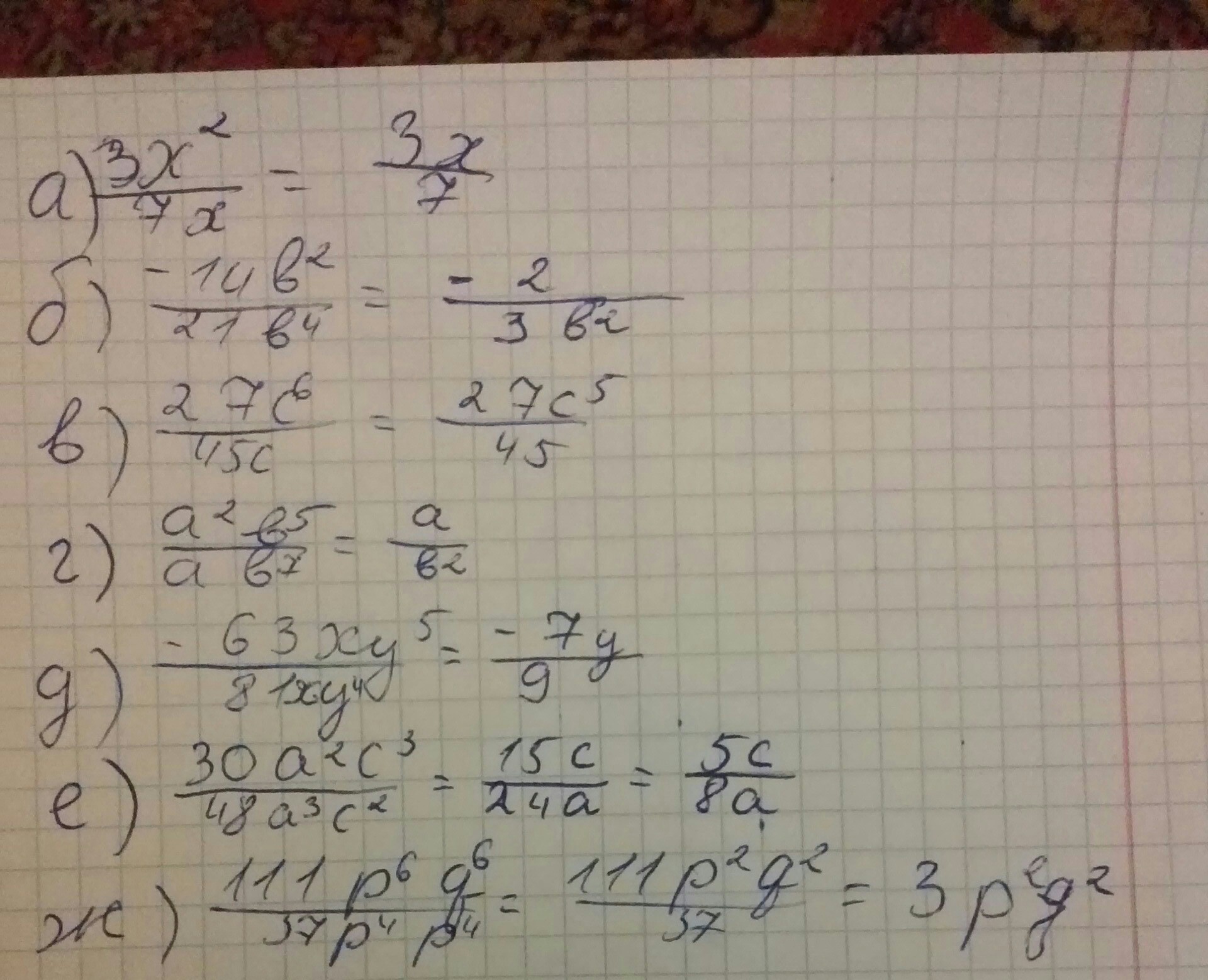
3х2/7x=3x/7
-14b2/21b4=-2/3b2
27c6/45c=3c5/5
a2b5/ab7=a/b2
-63xy5/81xy4=-7y/9
30a2c3/48a3c2=5c/8a
Ответ дал:
0
Пиши и учись. Удачи!
Приложения:

Ответ дал:
0
Спасибки
Вас заинтересует
2 года назад
2 года назад
3 года назад
3 года назад
9 лет назад