Длина прямоугольника X см а ширина на 3 см меньше Задайте формулой зависимость периметра прямоугольника от его длины и зависимость площади прямоугольника От длины и Какая из этих зависимостей является линейной функцией
Ответы
Ответ дал:
0
Длина Х
Ширина Х-3
Периметр (х + х -3)*2 = (2х - 3)*2 - это линейная функция
Площадь х*(х-3) = х^2 - 3 - это квадратичная функция
Ответ дал:
0
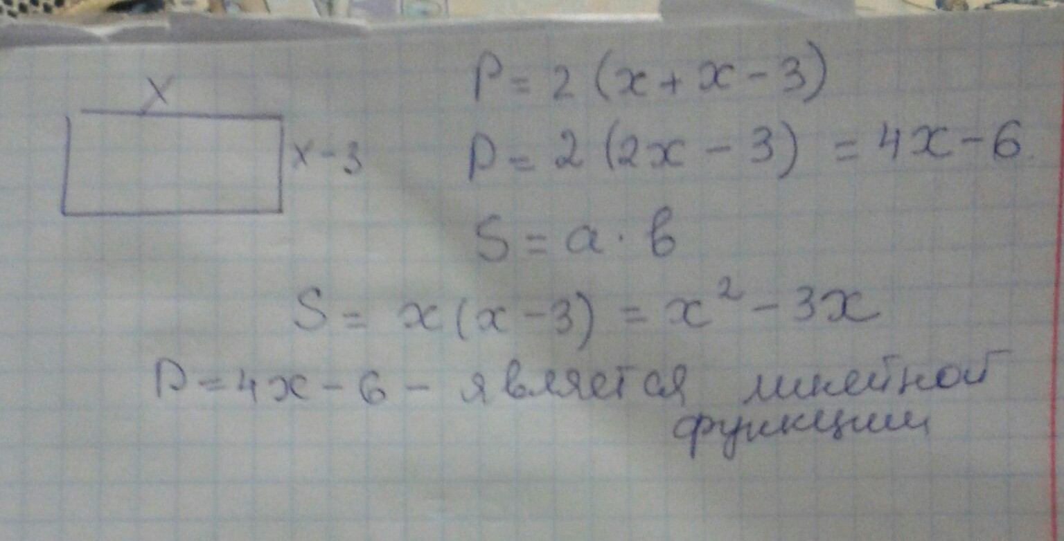
решение на фотографие
Приложения:

Вас заинтересует
2 года назад
3 года назад
9 лет назад
9 лет назад
9 лет назад