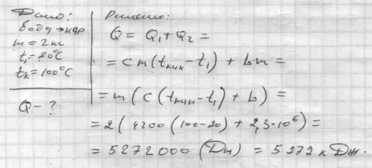
какое количество теплоты необходимо затратить, чтобы 2кг воды, взятой при температуре 20 градусов, довести до кипения и полностью выпарить
Ответы
Ответ дал:
0
Вот єсли не паймьош то напиши!
Приложения:

Вас заинтересует
2 года назад
3 года назад
3 года назад
9 лет назад
9 лет назад
9 лет назад
9 лет назад