• Предмет: Математика
  • Автор: Алексей1203
  • Вопрос задан 8 лет назад

решите уравнение
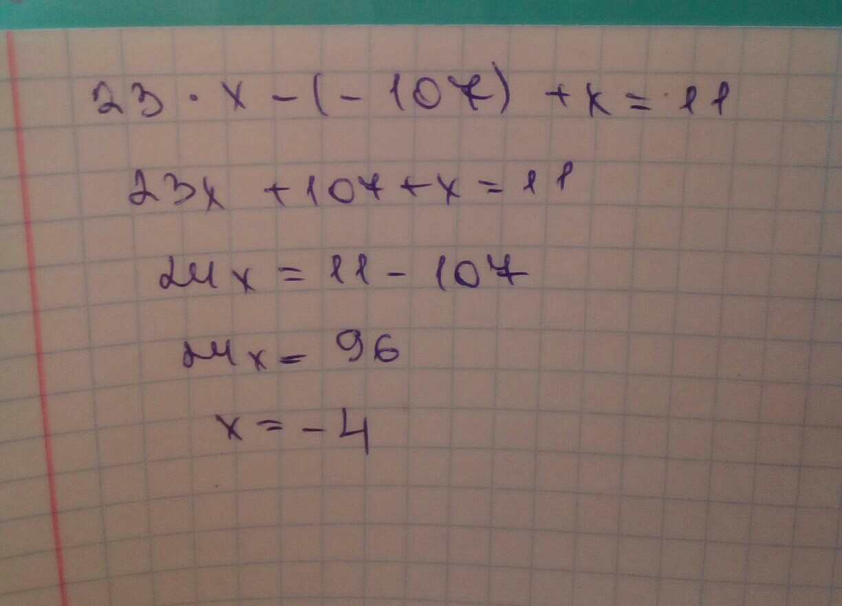
23*x-(-107)+x=11

Ответы

Ответ дал: angelinka92
0
вроде правильно.......
Приложения:
Ответ дал: aidos7566
0
23x-(-107)+x=11
23x+107+x=11
24x+107=11
24x=11-107
24x=-96
x=-4
Приложения:
Вас заинтересует