• Предмет: Алгебра
  • Автор: gfdg34
  • Вопрос задан 8 лет назад

Помогите! Алгебра 8 класс

Приложения:

Ответы

Ответ дал: AlprostoAl
0

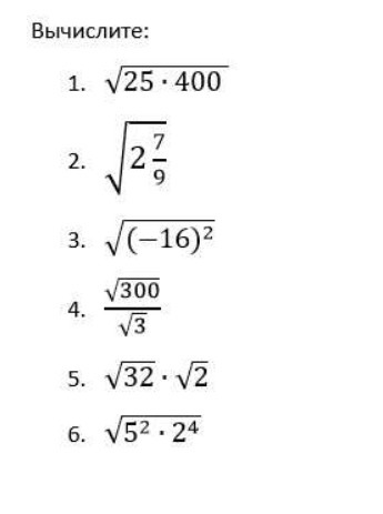
1)100

2)5/3

3)16

4)10

5)8

6)10

2 слайд ответ:4

3 слайд ответ:117

4 слайд ответ:4

5 слайд ответ:-14

Поставь лучший ответ пожалуйста)

Ответ дал: gfdg34
0
https://znanija.com/task/30390023 это продолжение задания
Вас заинтересует