Ответы
Ответ дал:
0
Проверь на всякий случай.
Приложения:

Ответ дал:
0
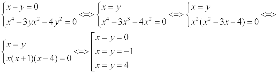
x=y
x^4-3x*x^2-4x^2=0
x^2(x^2-3x-4)=0
x^2=0
x1=0
x^2-3x-4=0
d=9+16=25
x2=(3-5)2*1=-1
x3=(3+5)/2*1=4
x^4-3x*x^2-4x^2=0
x^2(x^2-3x-4)=0
x^2=0
x1=0
x^2-3x-4=0
d=9+16=25
x2=(3-5)2*1=-1
x3=(3+5)/2*1=4
Приложения:

Вас заинтересует
2 года назад
8 лет назад
10 лет назад
10 лет назад
10 лет назад