Ответы
Ответ дал:
0
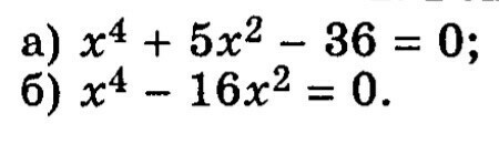
x^2=a
a^2+5a-36=0
D=25+4×36×1=169
a1,2=-5+-13
a1=-18
a2=8
x^2=-18
пустой сбор(или нет ответа)
x^2=8
x=2×под корнем 2
x^4-16x^2=0
x^2(x^2-16)=0
x^2(x-4)(x+4)=0
x=0 x=4 x=-4
a^2+5a-36=0
D=25+4×36×1=169
a1,2=-5+-13
a1=-18
a2=8
x^2=-18
пустой сбор(или нет ответа)
x^2=8
x=2×под корнем 2
x^4-16x^2=0
x^2(x^2-16)=0
x^2(x-4)(x+4)=0
x=0 x=4 x=-4
Ответ дал:
0
Спасибо большое
Ответ дал:
0
чел чел
Ответ дал:
0
вопрос можно?
Ответ дал:
0
Ок
Вас заинтересует
2 года назад
3 года назад
3 года назад
10 лет назад