Ответы
Ответ дал:
0
вроде бы так) Таким образом, чтобы найти координаты точки пересечения двух прямых нужно решить составленную систему
Приложения:

Ответ дал:
0
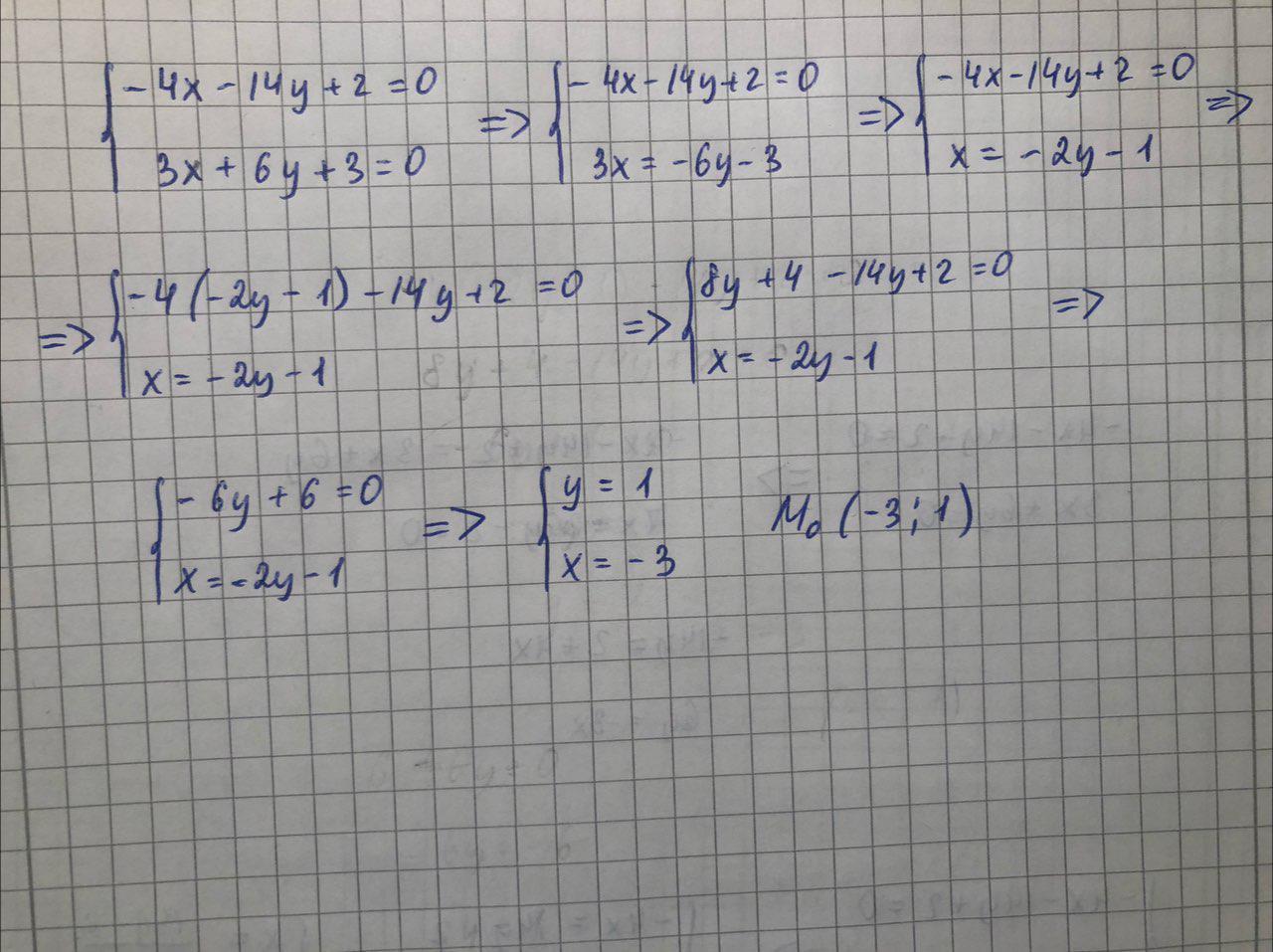
-4х-14у+2=0 и
3х+6у+3=0
ну сначала немного упростим первое поделим на 2 второе на 3
-2х-7y+1 =0
x+2y+1=0 выразим из обоих х и приравняем, так как прямые пересекаются и координаты равны
x=(1-7y)/2
x=-1-2y
-1-2y=(1-7y)/2
-2-4y=1-7y
3y=3
y=1
x=-1-2y=-1-2=-3
проверяем -2*(-3)-7*1+1=6-7+1=0
-3+2*1+1=-3+2+1=0
ответ (-3 1)
Приложения:

Вас заинтересует
2 года назад
3 года назад
3 года назад
9 лет назад
9 лет назад
9 лет назад