Масса простого вещества содержащего 1,806*10^23 молекул равна 6 грамм. Найти:малярную массу вещества и само вещество.
Ответы
Ответ дал:
0
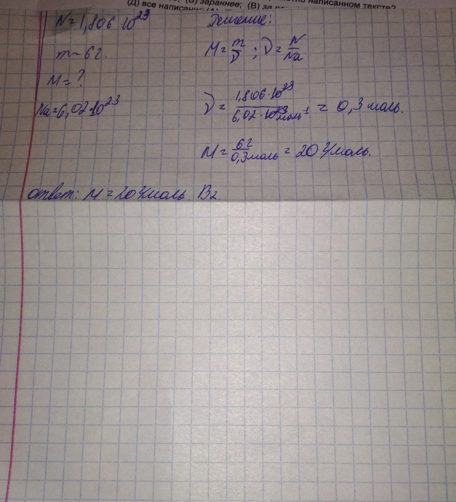
N=1,806*10^23
m=6г
M=?
Na=6,02*10^23
Решение:
M=m/v
v=N/Na
v=1,806*10^23/6,02*10^23=0,3моль
M=6г/0,3моль=20г/моль
Ответ: M=20г/моль. B2
m=6г
M=?
Na=6,02*10^23
Решение:
M=m/v
v=N/Na
v=1,806*10^23/6,02*10^23=0,3моль
M=6г/0,3моль=20г/моль
Ответ: M=20г/моль. B2
Приложения:

Вас заинтересует
2 года назад
2 года назад
3 года назад
3 года назад
9 лет назад
9 лет назад