• Предмет: Математика
  • Автор: jolymbet2001jzho
  • Вопрос задан 8 лет назад

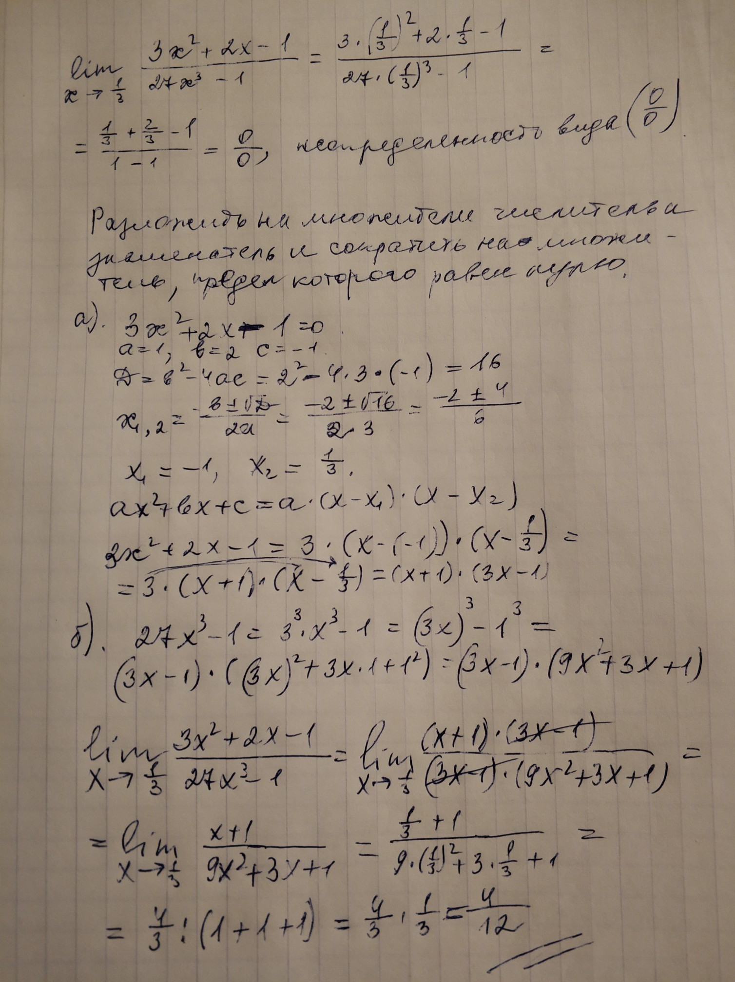
Найти предел с объяснением пожалуйста

Приложения:

Ответы

Ответ дал: kirichekov
0
решение во вложении......
Приложения:
Вас заинтересует