Ответы
Ответ дал:
0
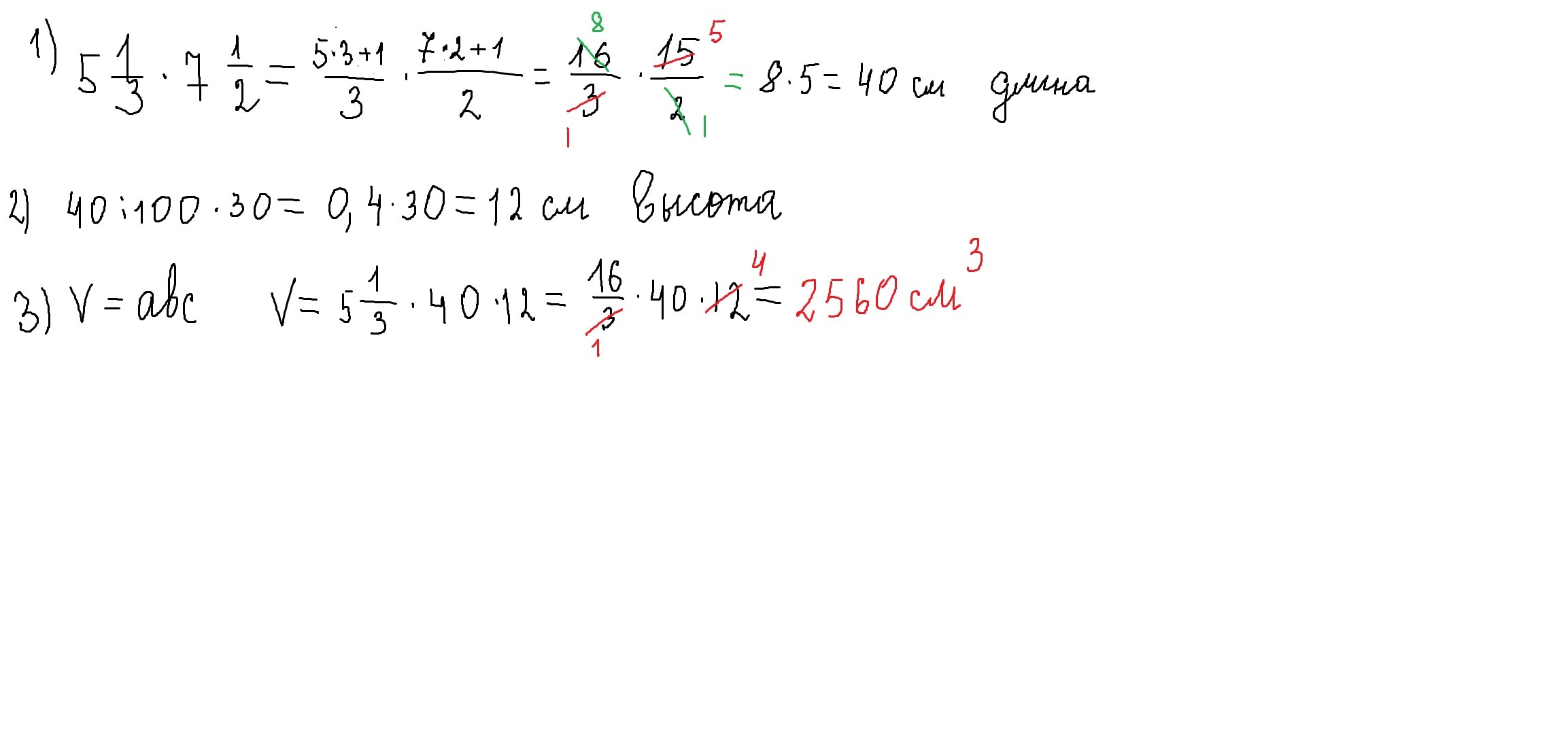
длинна= 7 1/2 * 5 1/3 = (7 * 2 + 1)/2 * (5 * 3 + 1)/3 = (14 + 1)/2 * (15 + 1)/3 = 15/2 * 16*3 = (15 * 16)/(2 * 3) = 5 * 8 = 40 (см).
выстоа=(40 * 30)/100 = 4 * 3 = 12 (см).
объем=40 * 5 1/3 * 12 = 40 * 16/3 * 12 = (40 * 16 * 12)/3 = 40 * 16 * 4 = 2560 (см3).
Ответ:2560 см3
Ответ дал:
0
решение смотри внизу
Приложения:

Вас заинтересует
2 года назад
3 года назад
3 года назад
9 лет назад