Ответы
Ответ дал:
0
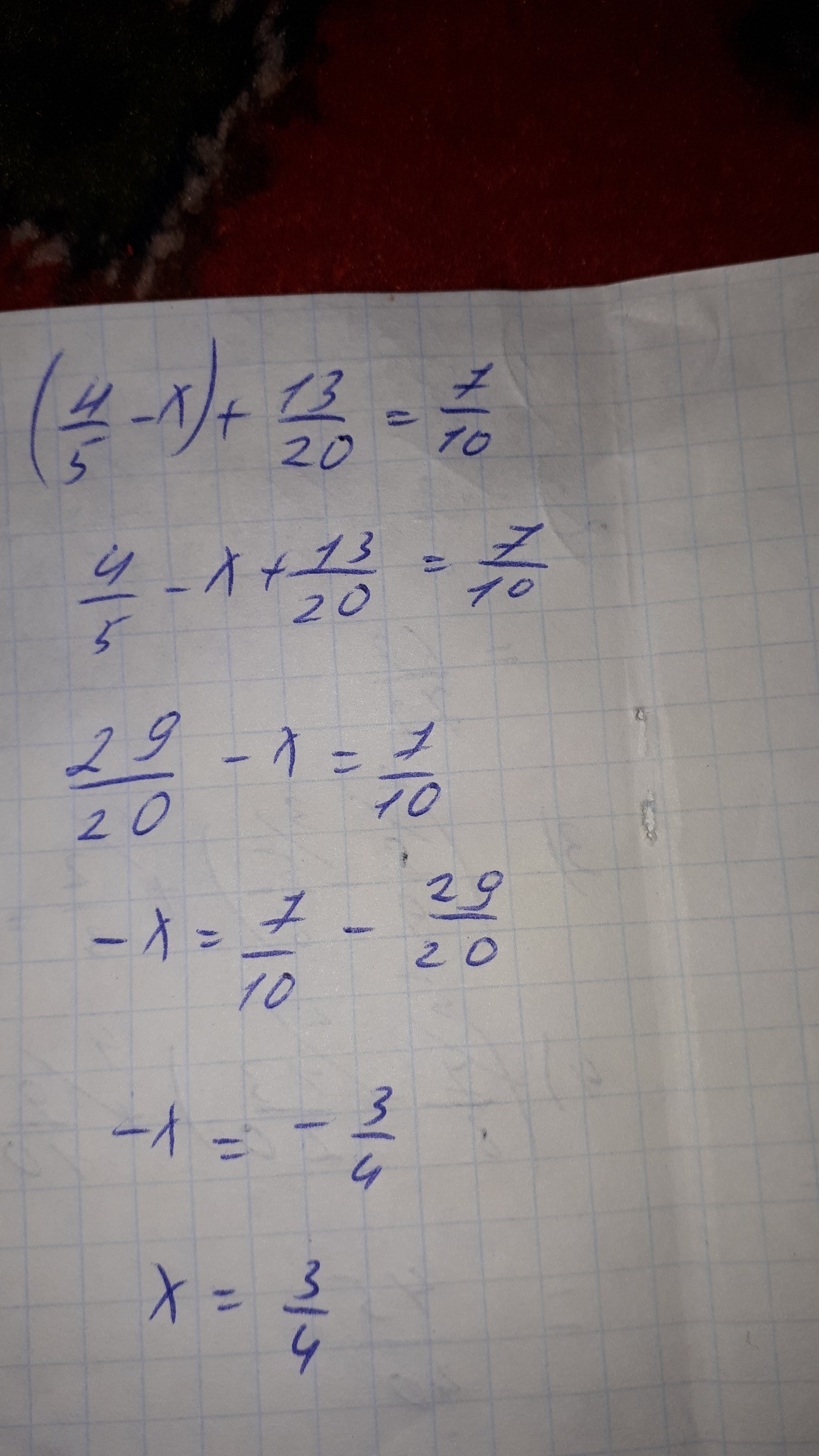
4/5 -x+13/20=7/10
4/5-x=7/10-13/20
4/5-x=14/20-13/20
4/5-x=1/20
x=4/5-1/20
x=16/20-1/20
x=15/20=3/4
Ответ: x=3/4
Ответ дал:
0
второе сейчвс тоже будет
Ответ дал:
0
ответ фотографии.......
Приложения:


Ответ дал:
0
отметь как лучший ответ пожалуйста прошу
Ответ дал:
0
мне очень надо
Вас заинтересует
2 года назад
2 года назад
3 года назад
3 года назад
9 лет назад
9 лет назад