Ответы
Ответ дал:
0
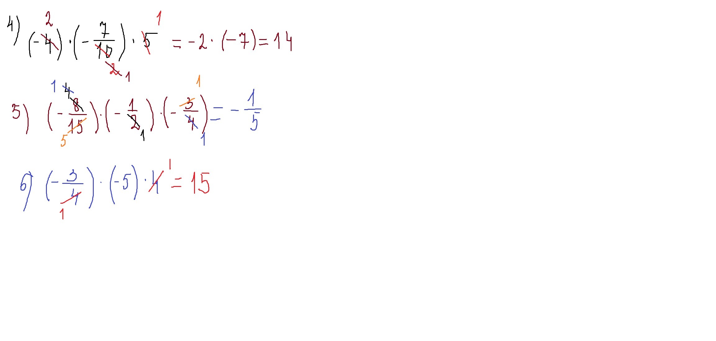
4)-4*5=-20
-20*(-7/10)=14
5)-8/15*(-3/4)=2/5
2/5*(-1/2)=-1/5
6)-3/4*4=-3
-3*(-5)=15
Ответ дал:
0
смотри решение внизу
Приложения:

Вас заинтересует
2 года назад
3 года назад
3 года назад
9 лет назад
9 лет назад