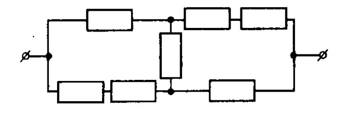
Чему равняется общее сопротивление схема, которая изображена на рисунке? Сопротивление каждого резистора составляет 4 Ом.
Приложения:

Ответы
Ответ дал:
0
Рассмотрим правую часть схемы.
Сверху 2 резистора 2*R
снизу - один - R
Токи распределятся в ветвях обратно пропорционально сопротивлениям.
Через 2*R пойдет ток I, а через R пойдет ток 2*I => потенциалы в точках к которым подключен вертикальный резистор равны (I * 2*R = 2*I * R), ток через этот резистор не идет и его можно из цепи исключить, убрать.
Получаем 2 ветви по 3 R соединенные параллельно
Rобщ = 3*R/2 = 1,5 * R = 1,5 * 4 Ом = 6 Ом
Вас заинтересует
2 года назад
2 года назад
3 года назад
3 года назад
9 лет назад
9 лет назад
9 лет назад
9 лет назад