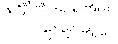
Частица имеющая скорость V0 испытала лобовое столкновение с покоившейся частицей 2 той же массы. В результате столкновения кинетическая энергия системы уменьшилась в n = 1.11 раз. Найти скорость частицы 1 после столкновения.
Ответы
Ответ дал:
0
ЦПЕУПУНРКРОКАОЕВОЕОЕОЕОЕОЕОЕОЕО
Приложения:

Вас заинтересует
2 года назад
2 года назад
3 года назад
3 года назад
9 лет назад
9 лет назад
9 лет назад