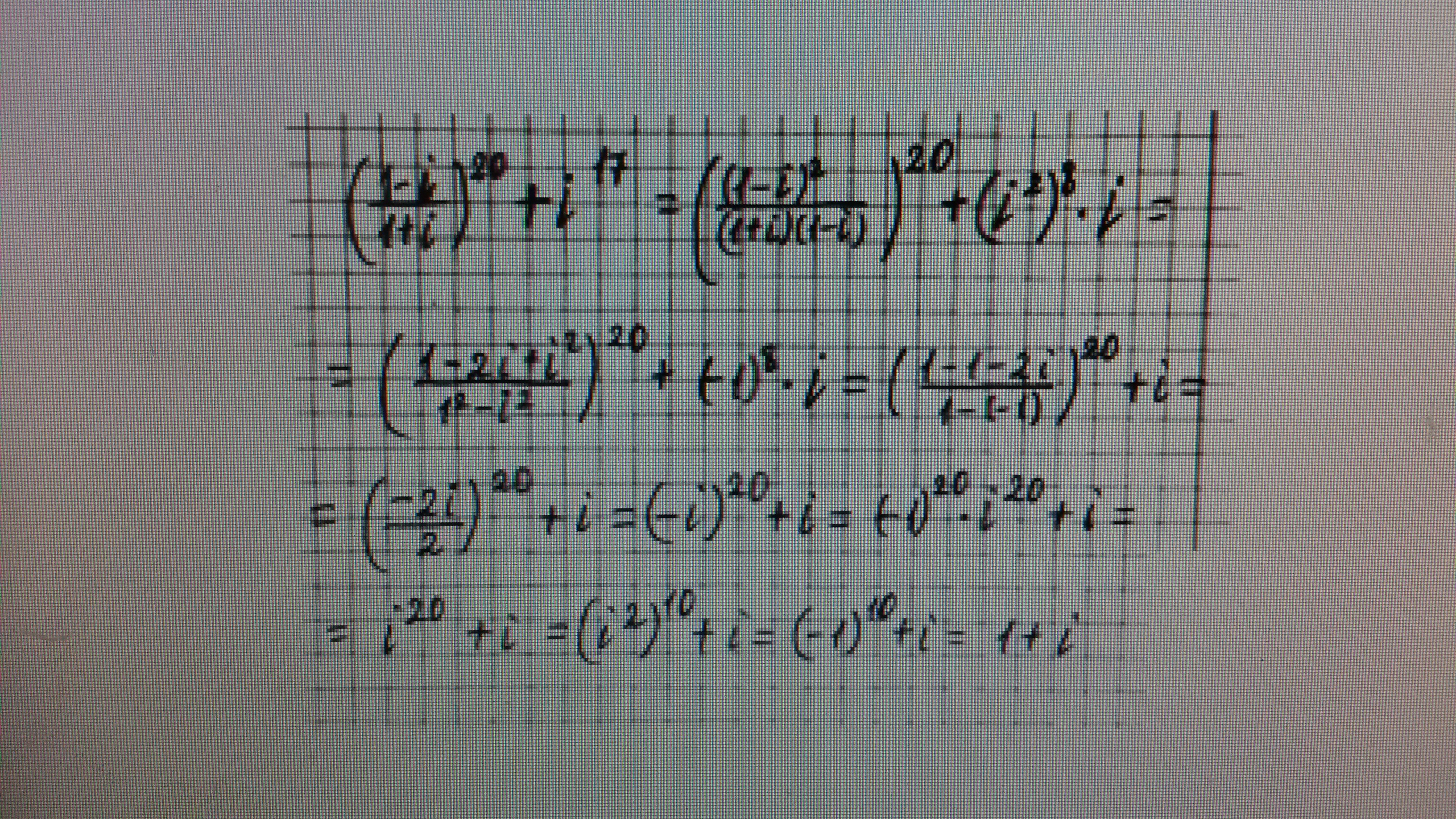
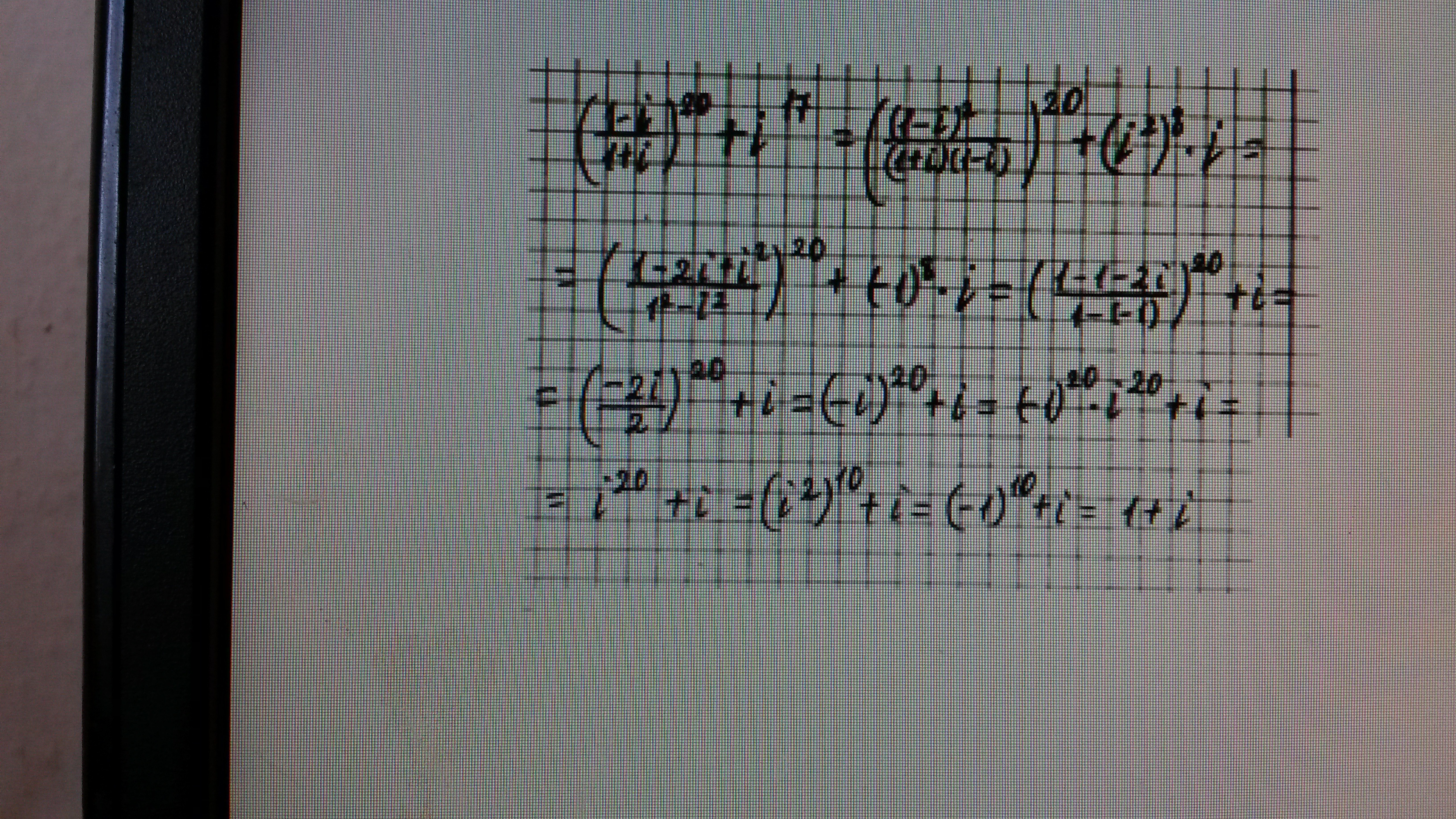
выполните действия в алгебраической форме. Результат запишите в тригонометрической и показательной форме (1-i/1+i)20 +i17
Ответы
Ответ дал:
0
Вот решения алгебры форме
Приложения:


Вас заинтересует
2 года назад
2 года назад
3 года назад
9 лет назад
9 лет назад
9 лет назад
9 лет назад