• Предмет: Математика
  • Автор: Bekalol10020
  • Вопрос задан 8 лет назад

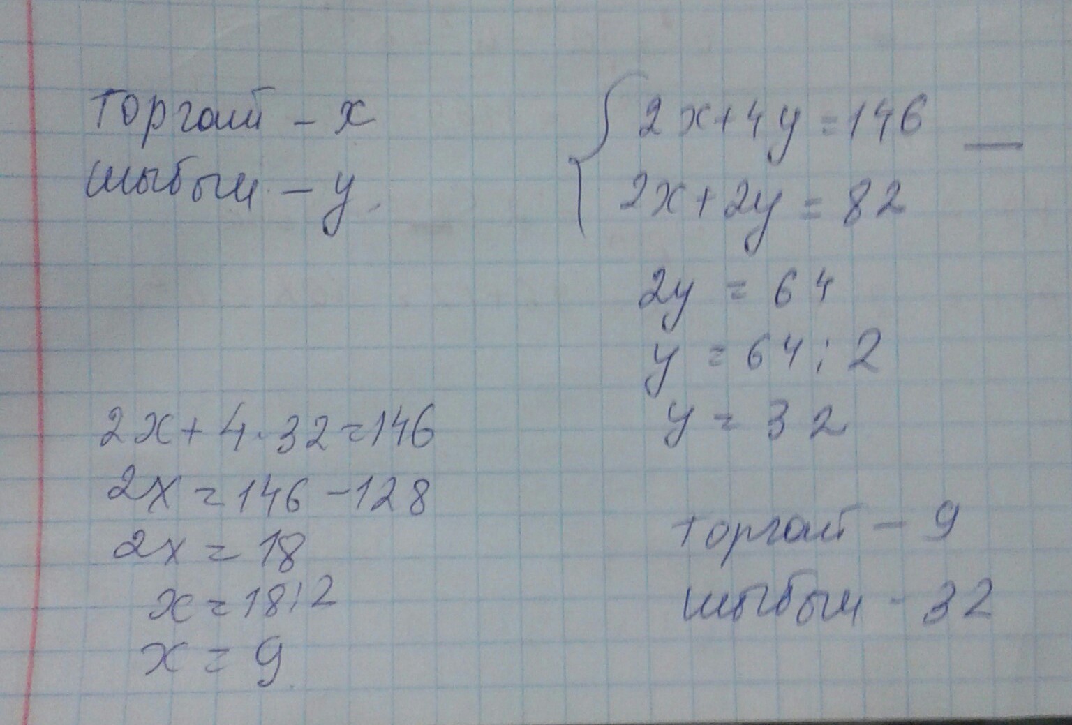
ұшып жүрген шыбындар тоғайлардың аяқтары-146,көздері-82.Неше шыбын, неше торғай бар?

Ответы

Ответ дал: Seyitmyradova78
0
resheniye naaaa fotkeeeeeee
Приложения:
Вас заинтересует