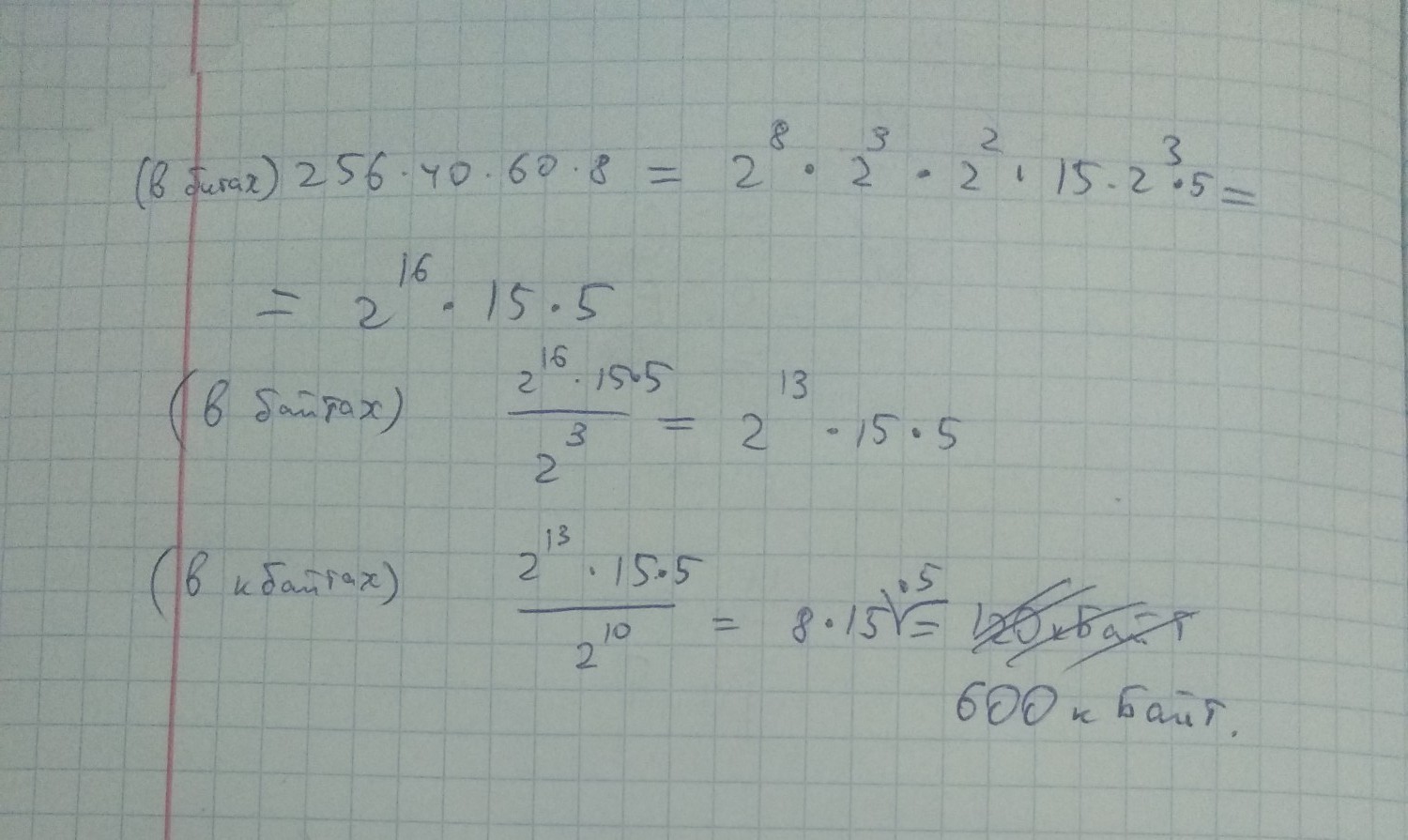
Учебник по информатике, набранный на компьютере, содержит 256 страниц, на каждой странице 40 строк, в каждой строке 60 символов. Для кодирования символов используется кодировка КОИ-8, при которой каждый символ кодируется 8 битами. Определите информационный объём учебника.
1) 100 байт
2) 200 Кбайт
3) 600 Кбайт
4) 1200 байт
хелп помогите решить только не просто , а в степенях
Ответы
Ответ дал:
0
Ответ: 3.(Решение см фото)
Приложения:

Вас заинтересует
2 года назад
2 года назад
3 года назад
3 года назад