Ответы
Ответ дал:
0
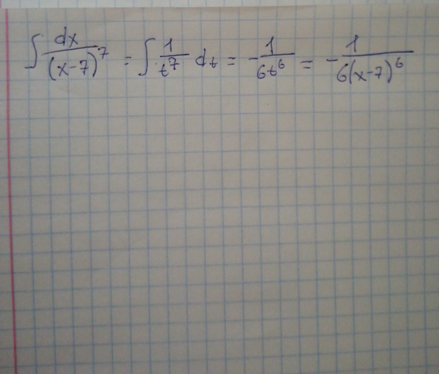
вот пожалуйста решил
Приложения:

Вас заинтересует
2 года назад
3 года назад
3 года назад