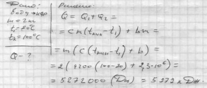
Какое количество теплоты необходимо затратить чтобы 2 кг воды взятой при температуре 20 градусов довести до кипения и полностью выпарить
Ответы
Ответ дал:
0
у меня не понятный подчерк
Приложения:

Вас заинтересует
2 года назад
2 года назад
3 года назад
9 лет назад
9 лет назад
9 лет назад