• Предмет: Алгебра
  • Автор: tan4ik5213
  • Вопрос задан 8 лет назад

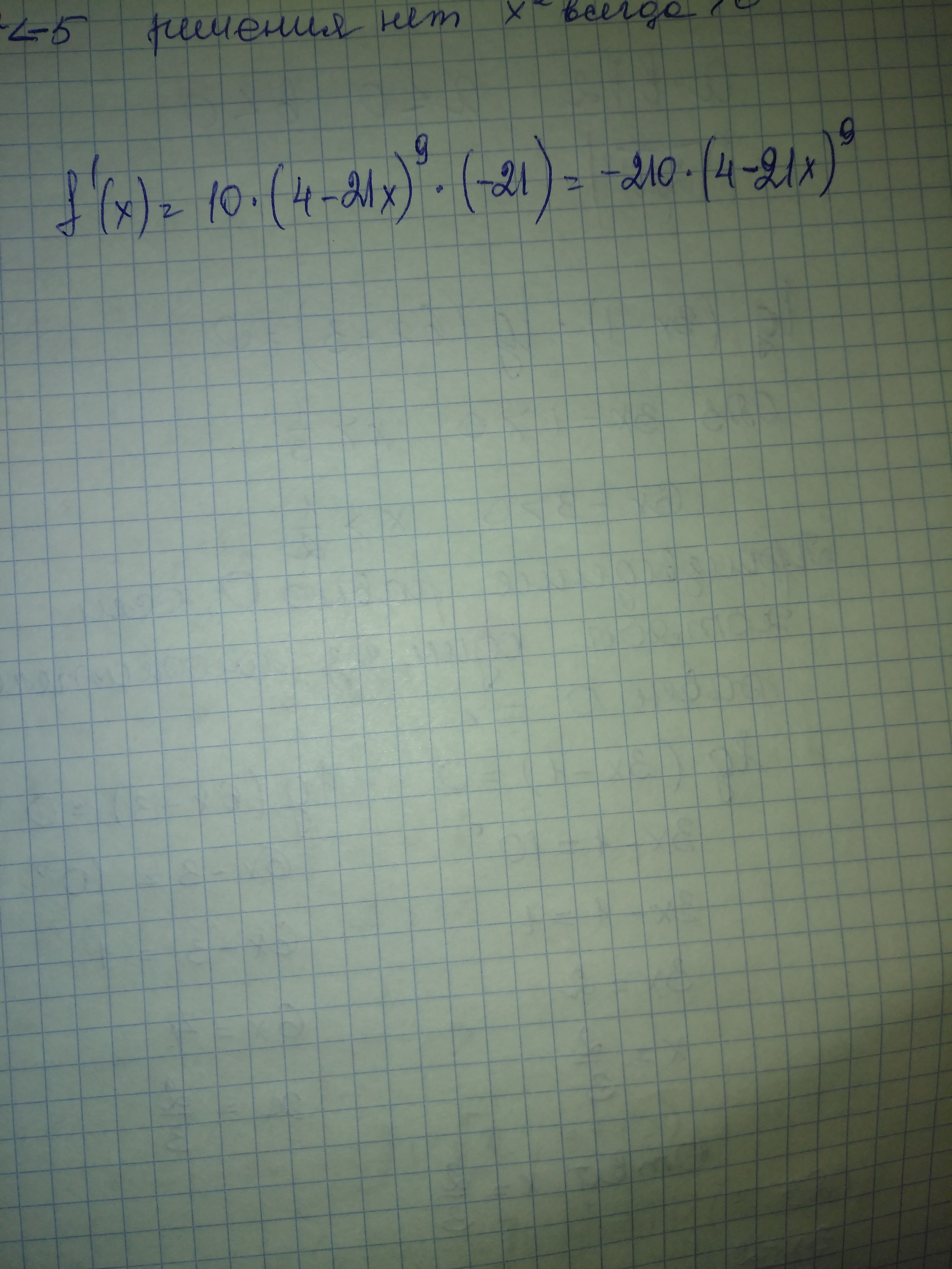
Найти производную (4-21x)^10

Ответы

Ответ дал: MizoriesKun
0

Смотри..............

Приложения:
Ответ дал: tan4ik5213
0
или можно записать так 210(21x-4)^9?
Вас заинтересует