Сколько корней имеет уравнение :

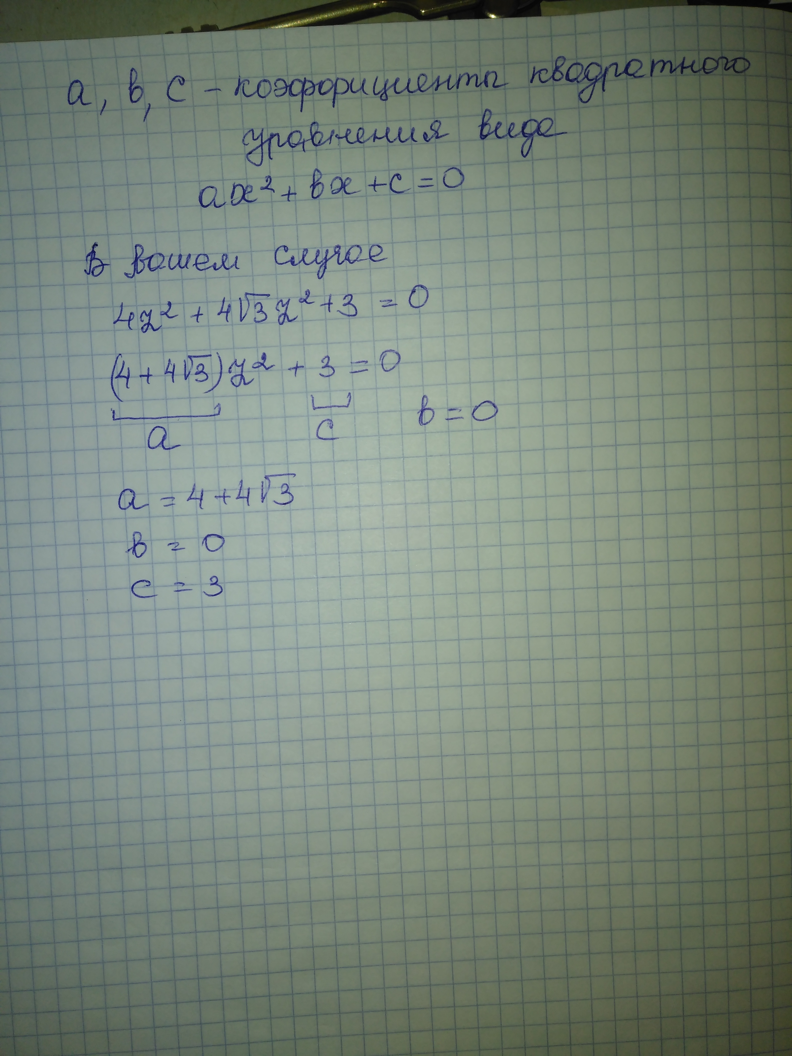
и не могу я тут понять, а=? и b=?, с=3
_______________________
Новая тема,только разбираю её)
Приложения:

Ответы
Ответ дал:
0
Смотри .........................
Приложения:

Ответ дал:
0
а что в ответе нужно записать?
Ответ дал:
0
и спасибо огромнейшее за ответ
Ответ дал:
0
Запиши чему равно а и чему равно b , у тебя же так вопрос стоит
Ответ дал:
0
Главным вопросом,на который нам сказали ответить в задании - это сколько корней имеет уравнение) а второй вопрос я для себя задала,разобраться не могла
Вас заинтересует
2 года назад
3 года назад
3 года назад
9 лет назад
9 лет назад
9 лет назад