• Предмет: Алгебра
  • Автор: G12R
  • Вопрос задан 8 лет назад

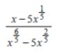
Даю 15 балов! Подайте выражение (выражение на картинке) в виде степени с рациональным показателем.
(Подайте вираз (вираз на картинці) у вигляді степеня з раціональним показником. )

Приложения:

Ответы

Ответ дал: Romarvel
0

frac{x-5x^{frac{1}{5}}} {x^{frac{6}{5} } -5x^{frac{2}{5}}}}

Выносим в знаменателе x в степени 1/5:

frac{x-5x^{frac{1}{5}}}{x^{frac{6}{5}}-5x^{frac{2}{5}}}} = frac{{x^frac{5}{5}}-5x^{frac{1}{5}}}{x^{frac{6}{5}}-5x^{frac{2}{5}}}} = frac{x^{frac{5}{5}}-5x^{frac{1}{5}}}{x^{frac{5}{5}}*x^{frac{1}{5}}-5x^{frac{1}{5}}*x^{frac{1}{5}}}} = frac{1}{x^{frac{1}{5}}} * frac{x^{frac{5}{5}}-5x^{frac{1}{5}}}{x^{frac{5}{5}}-5x^{frac{1}{5}}} = x^{frac{-1}{5}}  То есть сократив выражение на х - 5х^(1/5) получили 1/(х^(1/5)),а это в свою очередь можно записать с отрицательной степенью (-1/5)


Вас заинтересует