• Предмет: Алгебра
  • Автор: azazoon
  • Вопрос задан 8 лет назад

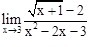
Помогите пожалуйста,задание на картинке.

Приложения:

Ответы

Ответ дал: LFP
0

нужно "избавиться от иррациональности"...в числителе))

это позволит сократить скобку, дающую в знаменателе ноль......=lim_{x to3}frac{(sqrt{x+1}-2)*(sqrt{x+1}+2)}{(x-3)(x+1)*(sqrt{x+1}+2)}=lim_{x to3}frac{x-3}{(x-3)(x+1)*(sqrt{x+1}+2)}

после сокращения можно просто подставить и вычислить...

... = 1 / (4*4) = 0.0625

Вас заинтересует