• Предмет: Алгебра
  • Автор: vernimoy2007
  • Вопрос задан 8 лет назад

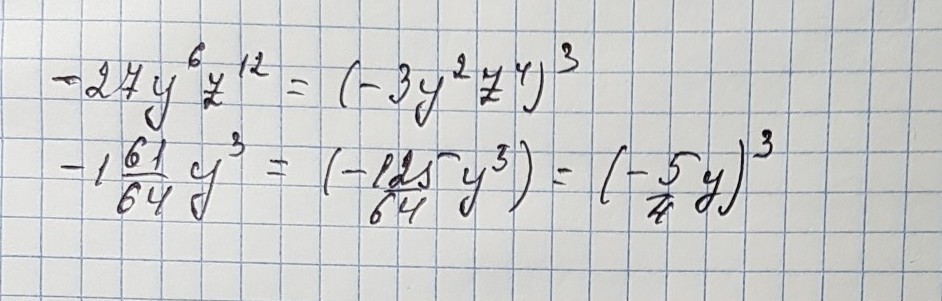
представьте данный одночлен в виде куба одночлена
-27y(6 степень)z(12 степень)
-1(шестьдесят одна, шестьдесят четвертая) y(3 степень)

Ответы

Ответ дал: 1233090
0
решение задания смотри на фотографии
Приложения:
Ответ дал: vernimoy2007
0
Моё почтение
Ответ дал: 1233090
0
был рад помочь
Вас заинтересует