• Предмет: Алгебра
  • Автор: СложноМария
  • Вопрос задан 8 лет назад

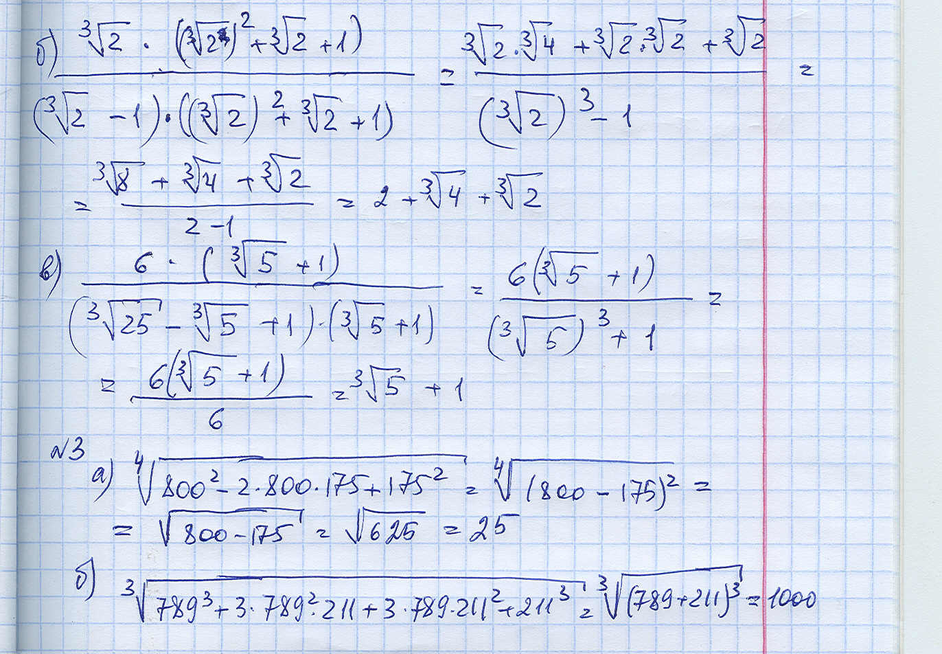
Алгебра 10 класс решите пожалуйста

Приложения:

Ответы

Ответ дал: Vas61
0

решение находится ниже

Приложения:
Вас заинтересует
3 года назад