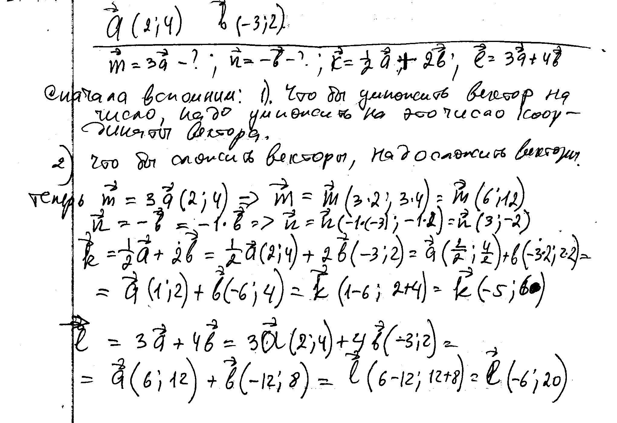
Даны вектора а(2;4) и в(-3;2)найдите координаты векторов : а) m=3a б)n=-b в)k=1/2 a + 2b г) l= 3a+4 b
Ответы
Ответ дал:
0
тут показано как это делать.
решение в скане...........
решение в скане...........
Приложения:
Вас заинтересует
3 года назад
3 года назад
8 лет назад
11 лет назад
11 лет назад