• Предмет: Алгебра
  • Автор: ciruvoruzo
  • Вопрос задан 8 лет назад

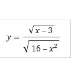
Найдите область определения функции

Приложения:

Ответы

Ответ дал: NNNLLL54
0

y=frac{sqrt{x-3}}{sqrt{16-x^2}}\\OOF:; ; left { {{x-3geq 0} atop {16-x^2>0}} right. ; ; left { {{xgeq 3} atop {(4-x)(4+x)>0}} right. ; left { {{xgeq 3} atop {xin (-4,4)}} right. ; Rightarrow ; ; boxed {xin [, 3,4)}\\znaki; (4-x)(4+x):; ; ; ---(-4)+++(4)---

Вас заинтересует