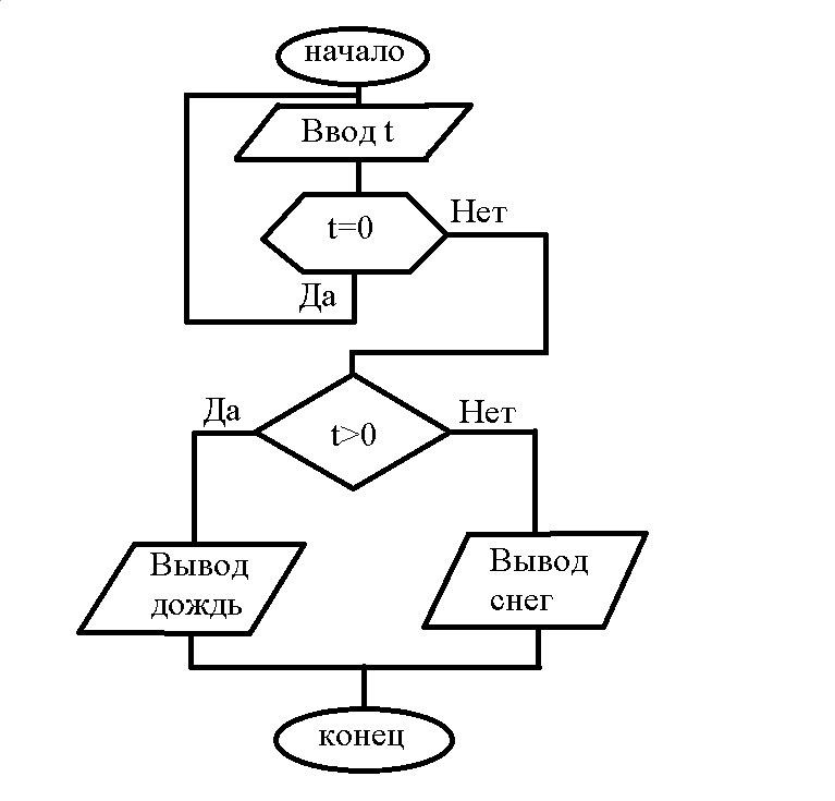
Составить блок-схему и программу для следующих задач:Зная температуру воздуха, определить вид осадков (дождь при t>0 или снег при t<0)
Ответы
Ответ дал:
0
Программа на языке С++
#include <iostream>
using namespace std;
int main() {
setlocale(LC_ALL, "Russian");
float t;
cout << "Программа для определения вида осадков." << 'n' << "Введите температуру: ";
cin >> t;
while (t==0) {
cout << "Введите температуру, не равную 0: " << 'n';
cin >> t;
}
if (t>0) {
cout << "На улице идет дождь";
} else {
cout << "На улице идет снег";
}
return 0;
}
Приложения:


Вас заинтересует
2 года назад
2 года назад
3 года назад
9 лет назад
9 лет назад
9 лет назад
9 лет назад