Ответы
Ответ дал:
0
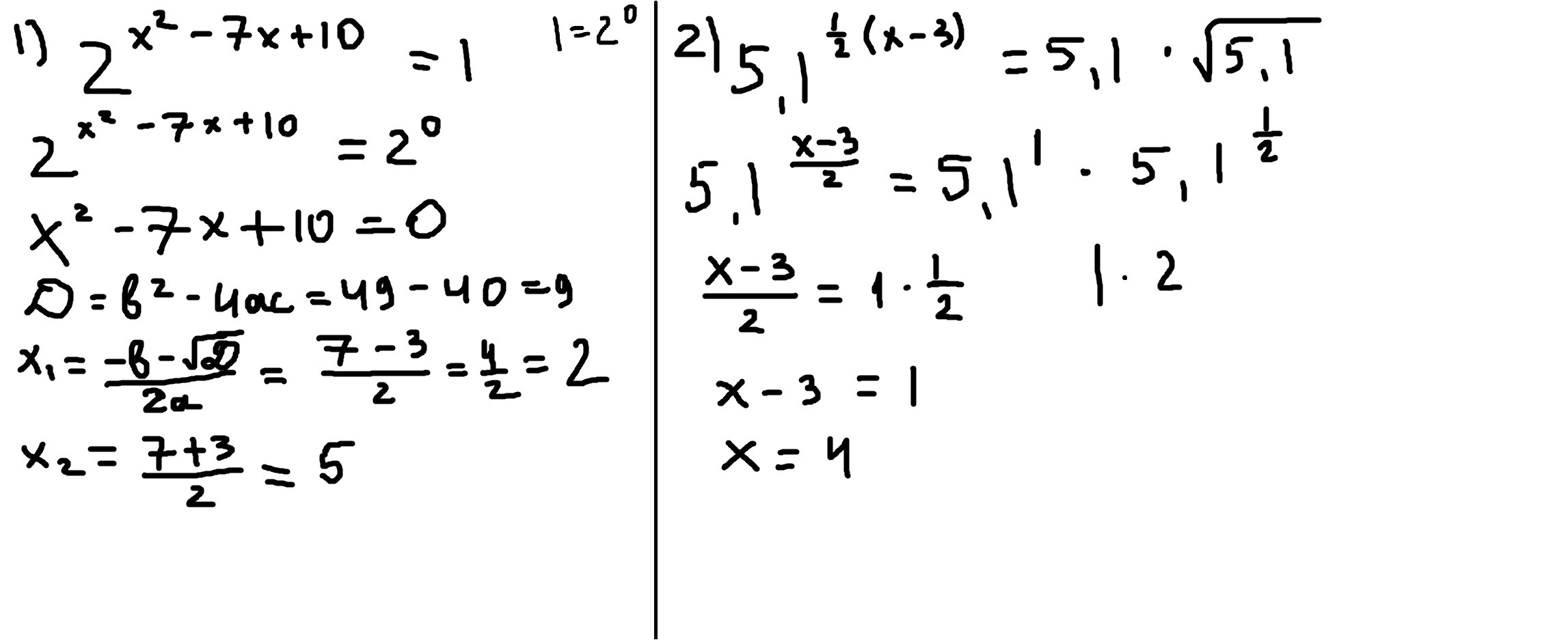
Ответ: 1) 5; 2 ; 2) 4
Приложения:

Ответ дал:
0
сорян,во 2 не 1*1/2 , а 1+1/2 и в итоге x=6 получается
Ответ дал:
0
1). 2^(x^2-7x+10)=2^0 ; x^2-7x+10=0; D=(-7)^2-4*1*10=49-40=9; x1=(7-3)/2, x2=(7+3)/2. x1=2, x2=5. Ответ: x1=2, x2=5. 2). 5,1^1/2*(x-3)=5,1^3/2; 1/2*(x-3)=3/2; 1/2x-3/2=3/2; 1/2x=3/2+3/2; 1/2x=3; x=3:1/2=6. Ответ: x=6.
Приложения:

Вас заинтересует
2 года назад
2 года назад
3 года назад
3 года назад
9 лет назад
9 лет назад
9 лет назад