Ответы
Ответ дал:
0
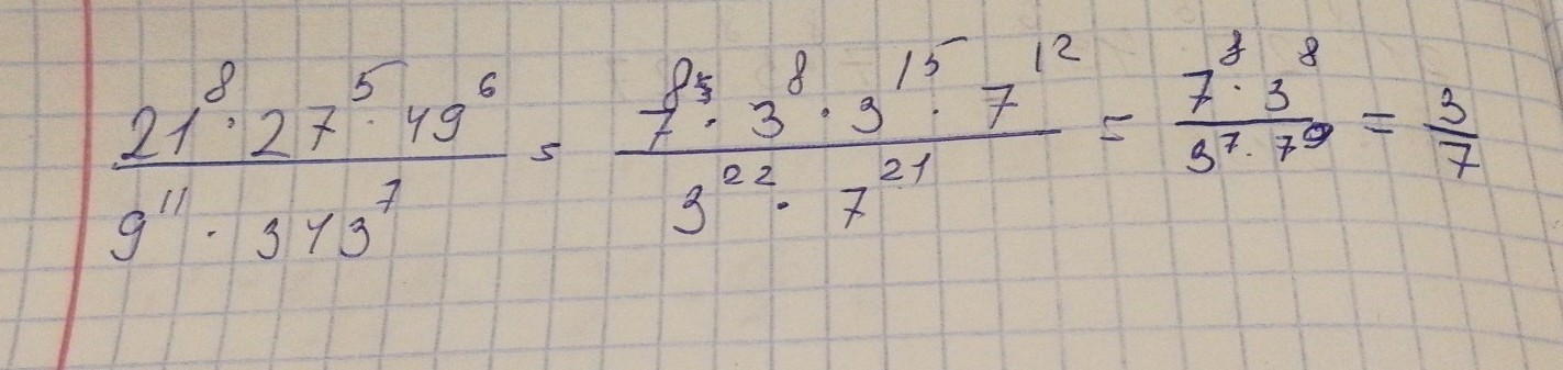
Зачеркивать сокращения не стал, по ходу решения понятно, что и как сокращается или тебе позачеркивать?
Приложения:

Ответ дал:
0
32^9*125^8/8^13*10^7*25^8 можно еще глянуть?
Ответ дал:
0
создай вопрос. я отвечу.
Ответ дал:
0
Всё не надо спасибо большое за помощь я понял решил сам.
Ответ дал:
0
Ну и хорошо. Я тоже сделал :D
Вас заинтересует
2 года назад
3 года назад
3 года назад
9 лет назад
9 лет назад