• Предмет: Математика
  • Автор: abc123490
  • Вопрос задан 8 лет назад

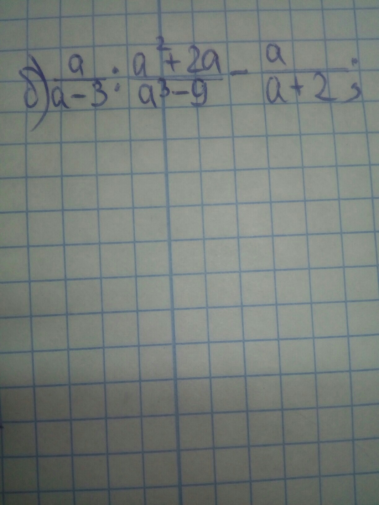
преобразование рациональных выражений

Приложения:

Ответы

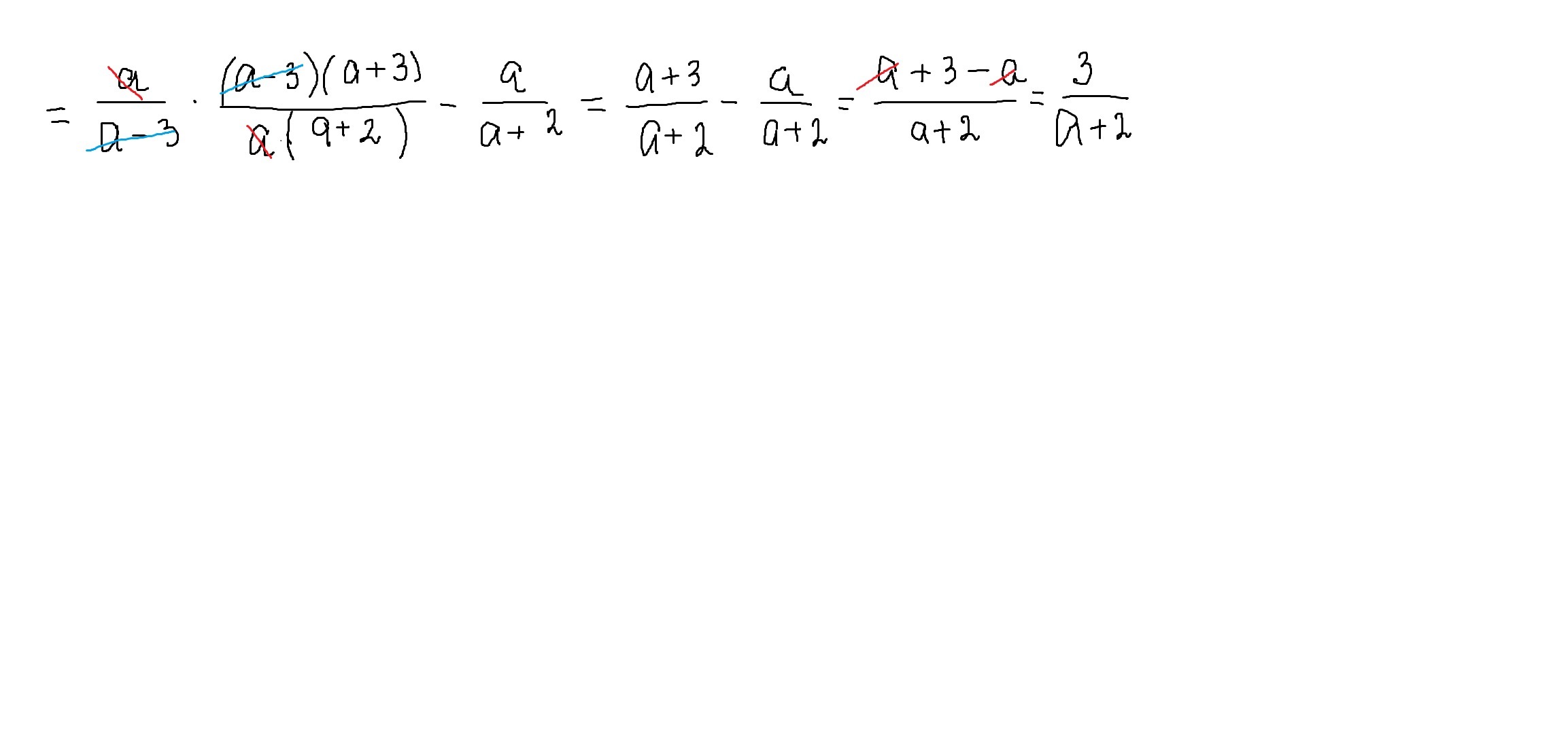
Ответ дал: parus77
0

смотри решение внизу

Приложения:
Вас заинтересует