• Предмет: Алгебра
  • Автор: nastya1803031
  • Вопрос задан 8 лет назад

60 баллов
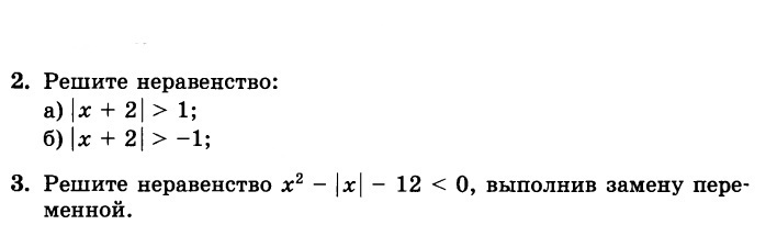
Помогите, пожалуйста, решить номер 2(б) - ответ х€R и номер 3 - ответ (-4;4)

Приложения:

Ответы

Ответ дал: oganesbagoyan
0

task/30442737

2б) | x+2|  > - 1     ОДЗ :   x ∈ ( -∞ ;  + ∞)

по определению | x+2|  ≥ 0  ⇒  | x+2|  > - 1  при всех  x .     x ∈ R

3) x² - |x| - 12 <  0 |x|² - |x| - 12 <  0 .  замена: t = |x| ≥ 0

t² - t - 12  <  0 ⇔ (t + 3)(t - 4) < 0 ⇔  - 3 < t < 4

+ + + + + + + ( -3)  //////////////// (4) + + + + + + +

Обратная замена: - 3 < |x| < 4 ⇔ |x| < 4 ⇔ - 4 < x < 4  || x ∈ (- 4 ;  4 ) ||

* * *  |x| > - 3  для всех  x  ;  x ∈ ( -∞ ;  + ∞)  * * *

ответ:  x ∈ (- 4 ;  4 ) .

t² - t - 12 =0   D =1²- 4*1*(-12) =1+48=49 =7² ;  t₁,₂ =(1 ±7)/2⇒ t₁= -3 , t₂= 4

* * * t² - t - 12 =t² + 3t -4t - 12=t(t +3) - 4(t +3) = (t +3)(t -4)  * * *

* * |x|²- |x| - 12 < 0 ⇔( |x| +3)(|x| - 4) < 0⇔ |x| - 4 < 0, т.к. |x| +3 >0 * * *


Ответ дал: nastya1803031
0
А что означает ***
Ответ дал: nastya1803031
0
И что такое обратная замена?
Ответ дал: nastya1803031
0
Пожалуйста https://znanija.com/task/30445166
Вас заинтересует