• Предмет: Алгебра
  • Автор: Vika240106
  • Вопрос задан 8 лет назад

помогите решить пж!!!

Приложения:

Ответы

Ответ дал: vladbeugodov
0

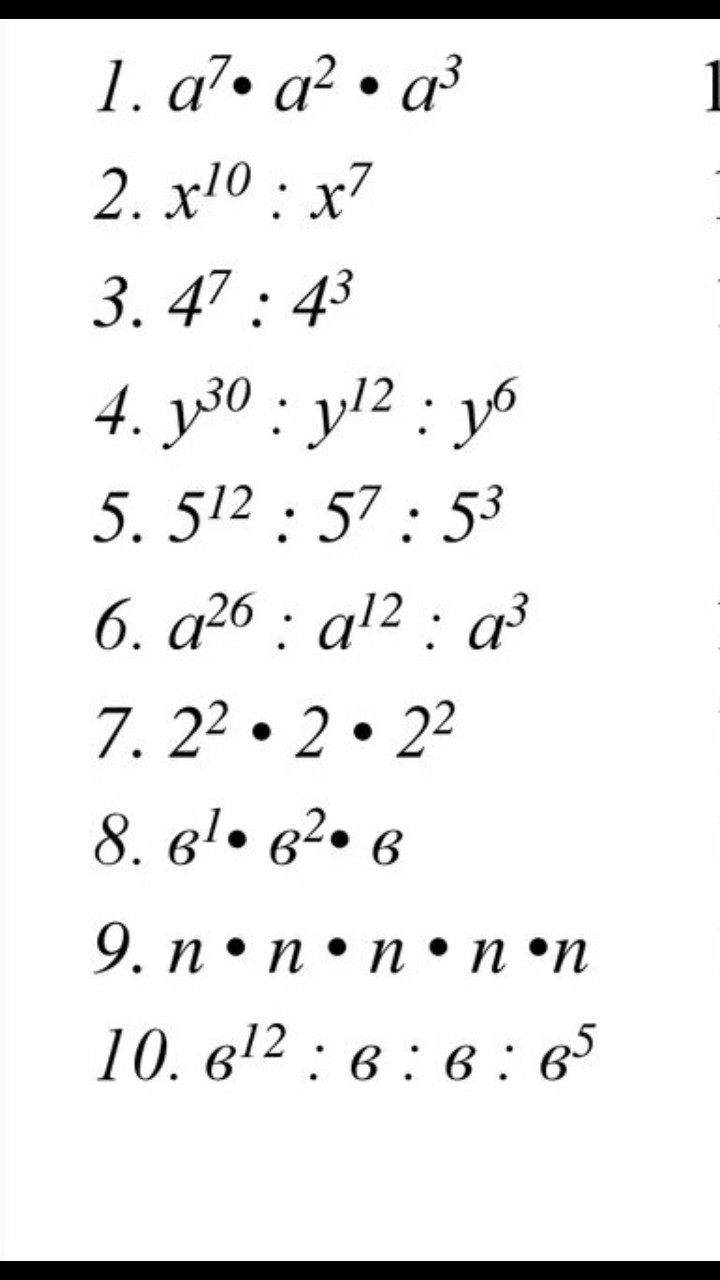
1. а∧12

2. х∧3

3. 256

4. у∧12

5. 25

6. а∧11

7. 32

8. в∧4

9. n∧5

10. в∧5



Вас заинтересует