• Предмет: Алгебра
  • Автор: sanna67
  • Вопрос задан 8 лет назад

Помогите с 3-им заданием, его нужно сделать по действиям, заранее спасибо)

Приложения:

Ответы

Ответ дал: danilonichenko2004
0

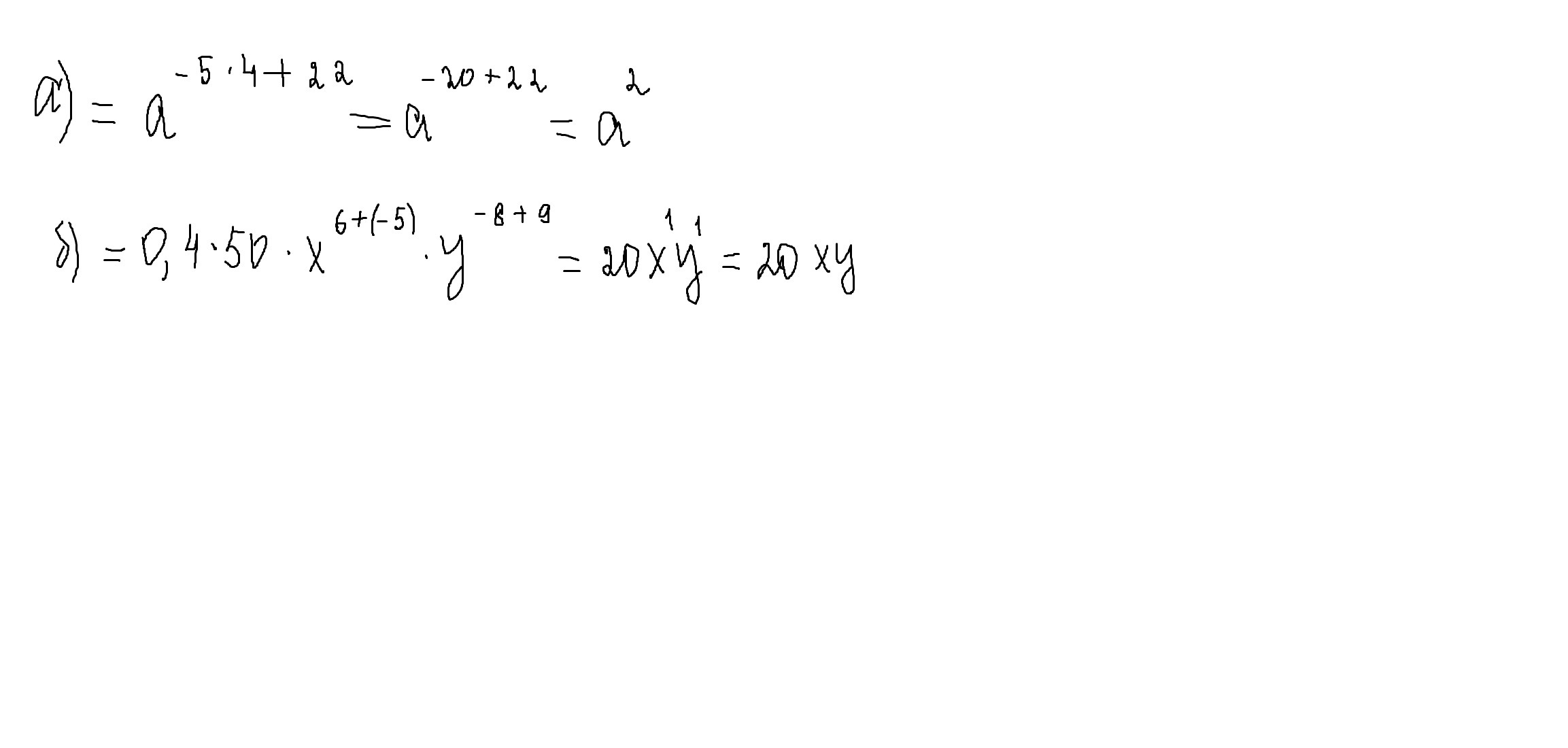
А) (а-5)4*а22=а-5*4*а22=а-20*а22=а2

Б)0,4x6y-8*50x-5y9=(0,4*50)(x6*x-5)(y-8*y9)=20xy

Ответ дал: parus77
0

при возведении степени в степень показатели умножаются,при умножении-показатели складываются

Приложения:
Вас заинтересует