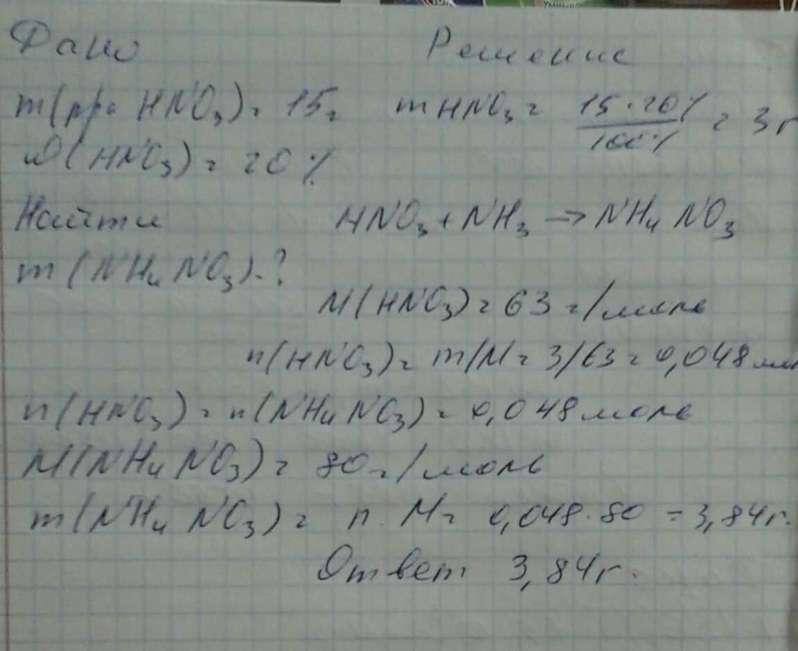
Сколько аммиачной селитры NH4NО3 должно получиться при нейтрализации 15 г 20 % раствора азотной кислоты раствором аммиака?
Ответы
Ответ дал:
0
ответ смотри на фотографии
Приложения:

Ответ дал:
0
у меня не сходится с ответом из сборника. Там ответ должен получится 1.72г
Вас заинтересует
2 года назад
2 года назад
3 года назад
9 лет назад
9 лет назад
9 лет назад