• Предмет: Алгебра
  • Автор: yajup
  • Вопрос задан 8 лет назад

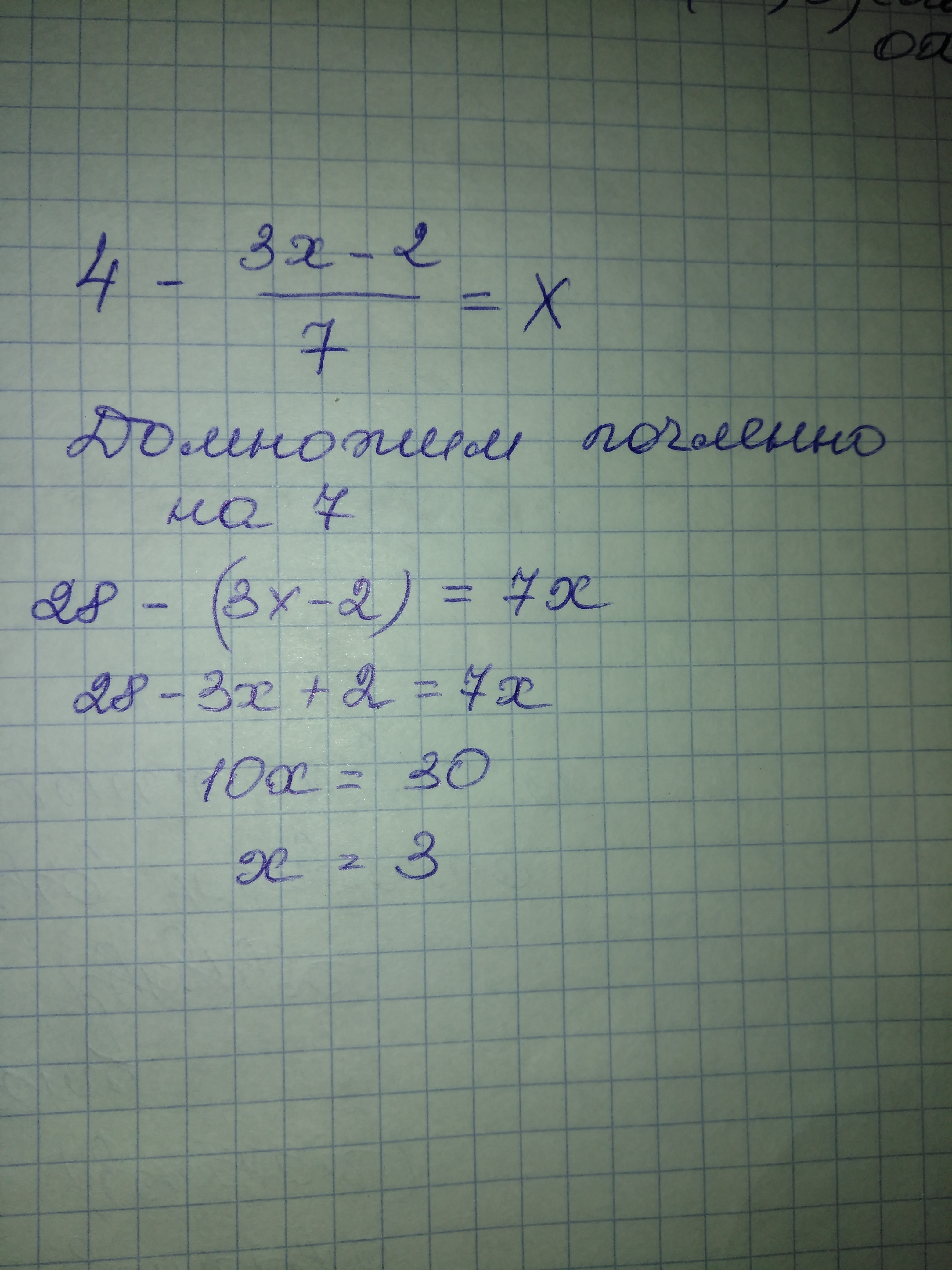
Нужно решить уравнение

Приложения:

Ответы

Ответ дал: MizoriesKun
0

Смотри.............................

Приложения:
Ответ дал: lida2585
0
28-3х+2=7х
30-3х=7х
-3х-7х= -30
-10х = -30
х = 30 : 10
х = 3
Приложения:
Вас заинтересует