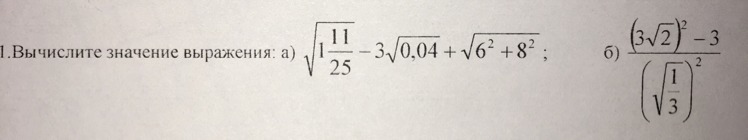
Ответы
Ответ дал:
0
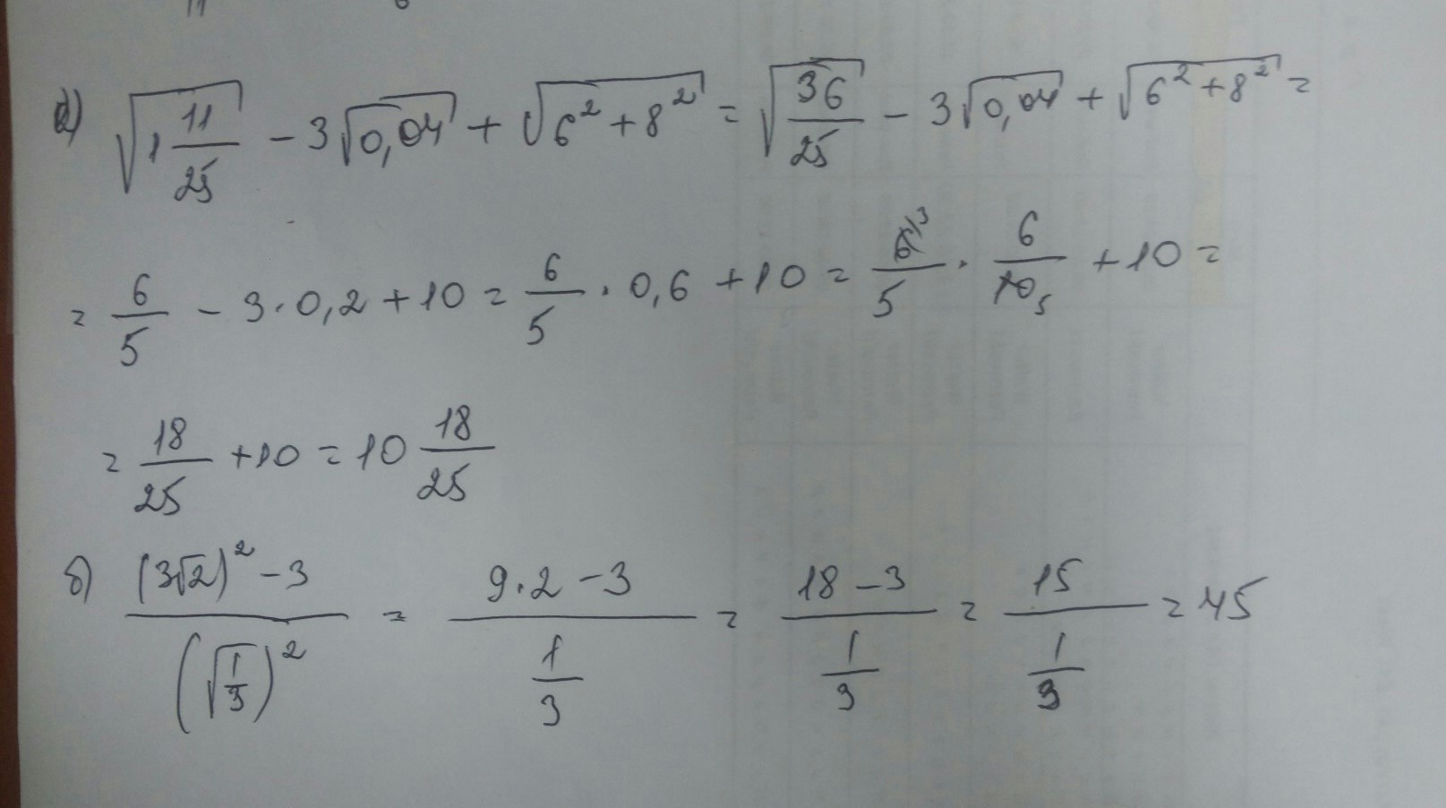
..........................
Приложения:

Ответ дал:
0
Первое задание вроде как неверное у вас. Перед 6/5 должен стоять минус. То есть 6/5-0,6. А в решении почему-то стоит умножить
Ответ дал:
0
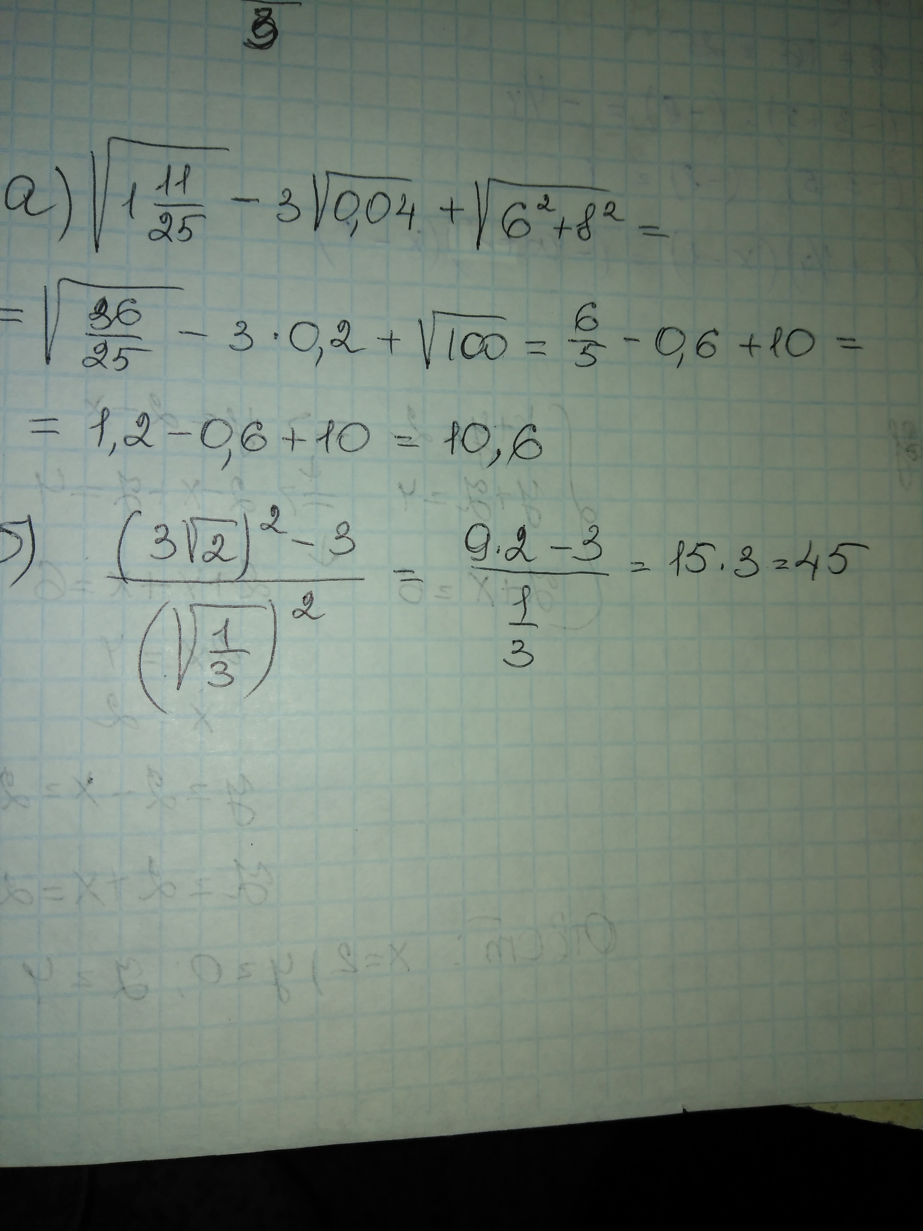
Смотри.....................
Приложения:

Вас заинтересует
2 года назад
3 года назад
9 лет назад
9 лет назад
9 лет назад