Ответы
Ответ дал:
0
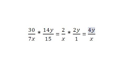
30 / 7x * 14y / 15 = (сокращ. 30 и 15, 7 и 14) = 4у / х
Ответ дал:
0
Быстрый как Главный мозг =D
Ответ дал:
0
Всё есть, однако, это сделал уже другой человек, так что он лучший =)
Удачи!
Приложения:

Вас заинтересует
2 года назад
3 года назад
3 года назад
9 лет назад
9 лет назад
9 лет назад